网站主页
化合物 B 4148
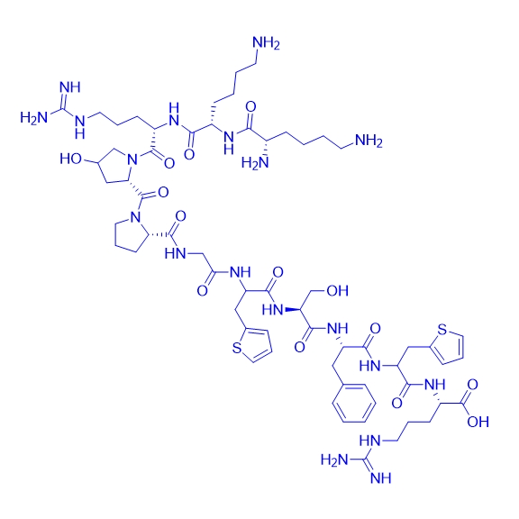
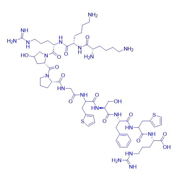
选择性竞争性缓激肽 (BK) 拮抗剂多肽B4148
选择性竞争性缓激肽 (BK) 拮抗剂多肽B4148/103412-37-9/B4148
B4148
103412-37-9
103412-37-9
¥800
1mg
起订
询价
10mg
起订
询价
100mg
起订
江苏 更新日期:2026-04-08
产品详情:
- 中文名称:
- 选择性竞争性缓激肽 (BK) 拮抗剂多肽B4148
- 英文名称:
- B4148
- CAS号:
- 103412-37-9
- 品牌:
- 肽研生物
- 产地:
- 江苏南京
- 保存条件:
- -20℃密封
- 纯度规格:
- 98%HPLC
- 产品类别:
- 目录肽
- 别名:
- 选择性竞争性缓激肽 (BK) 拮抗剂多肽B4148
- 分子式:
- C62H95N19O14S2
公司简介
肽研生物坐落于国家级新区南京江北新区新材料产业园,是一家专业从事多肽产 品的研发、生产和销售以及多肽技术转让的高新技术企业。公司秉持“诚信、严 谨、务实”的匠人精神,持续投入研发,不断创新,致力于为科研工作者提供丰 富全面的多肽修饰类型和优质的产品。
| 成立日期 | (3年) |
| 注册资本 | 200万人民币 |
| 员工人数 | 1-10人 |
| 年营业额 | ¥ 500万-1000万 |
| 经营模式 | 工厂,试剂,定制,服务 |
| 主营行业 | 中间体,化学试剂,医药原料,蛋白组学,分子生物学 |
选择性竞争性缓激肽 (BK) 拮抗剂多肽B4148相关厂家报价
-
- Urantide/669089-53-6/选择性竞争尿素II受体拮抗剂Urantide
- 绍兴市均宇生物科技有限公司 VIP
- 2026-03-31
- 询价
-
- 竞争性拮抗剂多肽Waglerin-1/145038-84-2/Waglerin-1
- 上海鸿肽生物科技有限公司
- 2025-06-17
- 询价
-
- 竞争性沉默拮抗剂
- 杭州固拓生物科技有限公司 VIP
- 2026-04-10
- ¥400
-
- 化合物 B 4148|T71571|TargetMol
- TargetMol中国(陶术生物) VIP
- 2026-04-07
- ¥13800
