基本信息 产品详情 公司简介 推荐产品
网站主页 化工产品目录 有机原料 醇、酚、酚醇类化合物及衍生物 双酚 A对二苯磷酸酯 双酚A双(二苯基磷酸酯)?
  • AN-BDP,双酚A双(二苯基磷酸酯)?

AN-BDP,双酚A双(二苯基磷酸酯)?

AN-BDP
询价 5mg 起订
10mg 起订
50mg 起订
陕西 更新日期:2026-03-07

陕西星贝爱科生物科技有限责任公司

VIP1年
联系人:齐乃丽
电话:029-13572876172拨打
手机:13572876172 拨打
邮箱:1299426101@qq.com

产品详情:

中文名称:
双酚A双(二苯基磷酸酯)?
英文名称:
AN-BDP
品牌:
xingbieak
产地:
陕西西安
保存条件:
-20℃
纯度规格:
95%
产品类别:
其他
是否进口:
用途:
科研
产品规格:
mg
别名:
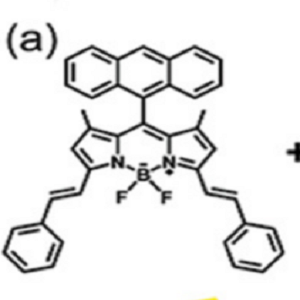
Anthracene-BODIPY
存储时间:
一年
销售范围:
全国

AN-BDP 是一类基于 BODIPY(硼二吡咯甲川) 荧光骨架的衍生物,通过引入 蒽(Anthracene) 基团进行修饰,形成具有独特光物理性质和生物应用潜力的化合物。

结构特性

AN-BDP 的核心结构由 BODIPY 和  单元通过共价键连接而成。BODIPY 是一类经典的荧光染料,具有高荧光量子产率、窄发射带宽和良好的光稳定性;蒽则是一种多环芳烃,具有强 π-π 堆积作用和光敏性。两者的结合赋予了 AN-BDP 以下特性:

  1. 强分子间作用力:蒽的强 π-π 堆积作用使 AN-BDP 能够自组装成稳定的纳米结构(如纳米颗粒或纳米纤维),显著提高其生物相容性和肿瘤靶向性。

  2. 可调控的光物理性质:通过改变蒽的取代位置或引入其他修饰基团,可调节 AN-BDP 的吸收/发射波长、荧光寿命和单线态氧产率,满足不同应用场景的需求。

温馨提示:供应产品仅用于科研,不能用于人体!

相关产品:

三(二苯甲酰甲烷)单(5-氨基-1,10-菲罗啉)铕(III)

TPPCOOMe

P-COF

四叔丁基酞菁铜

cas2382-08-3

cas6914-98-3

cas172918-35-3


Anthracene-BODIPY;AN-BDP;双酚A双(二苯基磷酸酯)?;

公司简介

陕西星贝爱科生物科技有限责任公司是西北一家从事经营进口科研试剂销售公司,科研试剂主要涉及生命科学、医 学及药学,生命科学试剂供应商之一

成立日期 (4年)
注册资本 100万元
员工人数 1-10人
年营业额 ¥ 100万以内
经营模式 贸易,试剂,定制
主营行业 生物材料,纳米材料,高分子化学,合成材料,通用试剂

双酚A双(二苯基磷酸酯)?相关厂家报价 更多

内容声明
拨打电话 立即询价