基本信息 产品详情 公司简介 推荐产品
网站主页 化工产品目录 分析化学 标准品 药典标准品和杂质标准品 舒更葡糖钠杂质05 舒更葡糖钠Org199129-1
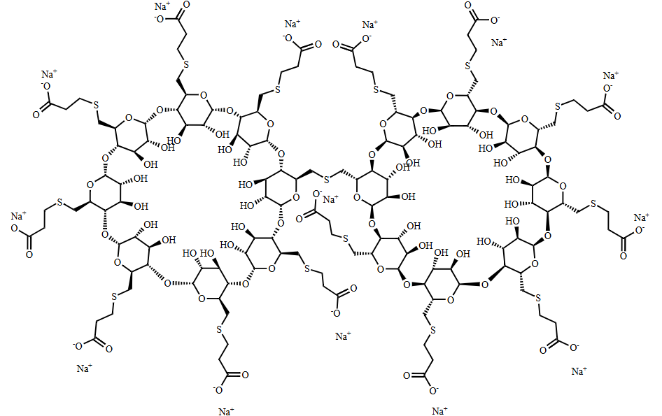
  • 舒更葡糖钠Org199129-1

舒更葡糖钠Org199129-1

Sugammadex Impurity 10
询价 10mg 起订
100mg 起订
1000mg 起订
广东 更新日期:2026-04-09

广州维奥康药业科技有限公司

VIP2年
联系人:陈惠妮
电话:+86-13424074264;拨打
手机:13726739909 拨打
邮箱:chenhuini@cti-cert.com

产品详情:

中文名称:
舒更葡糖钠Org199129-1
英文名称:
Sugammadex Impurity 10
CAS号:
2412953-06-9
产地:
广州
纯度规格:
95%+HPLC;90%+TGA/定量核磁
产品类别:
舒更葡糖钠
用途:
实验室研究使用
产品规格:
10mg 、25mg、50mg、100mg,1g

舒更葡糖钠Org199129-1;Sugammadex Impurity 10

95%+HPLC;90%+TGA/定量核磁  包装10mg;25mg;50mg;250mg;500mg;1g,

现货,提供HPLC/H-NMR/C-NMR/MS/TGA/IR/UV.




舒更葡糖钠杂质;Org199129-1;2412953-04-7;2412953-06-9;C138H200O92S15. 14Na;

公司简介

广州维奥康药业科技有限公司成立于2016年10月26日,是一家专注于药品研发、CMC研究、注册申报及一致性评价服务的技术型企业 。公司于2023年被华测检测认证集团全资收购,成为其医药健康板块的重要组成部分,进一步强化了药物合成、质量研究及注册申报全链条服务能力 。 作为高新技术企业(2023)和专精特新中小企业(2024),维奥康拥有11项注册商标和18项专利,主营原料药及中间体生产,并提供基因毒性杂质研究、元素检测等技术服务 。其技术团队成功承接50+基因毒性杂质研究、50+抗生素聚合物研究、20+元素杂质检测等项目,并助力海口市制药厂注射用头孢美唑钠于2023年通过审批

成立日期 (10年)
注册资本 500万人民币
员工人数 50-100人
年营业额 ¥ 1000万-5000万
经营模式 工厂
主营行业 中间体,医药原料

舒更葡糖钠Org199129-1相关厂家报价

内容声明
拨打电话 立即询价