基本信息 产品详情 公司简介 推荐产品
网站主页 (±)-Pestalotin pestalotin
  •  pestalotin

pestalotin

pestalotin
2000 1mg 起订
8000 5mg 起订
28800 20mg 起订
广西 更新日期:2026-01-29

桂林艾使普林生物科技有限公司

VIP1年
联系人:黄博士
手机:15920419256 拨打
邮箱:huangxishan13@foxmail.com

产品详情:

中文名称:
pestalotin
英文名称:
pestalotin
CAS号:
34565-32-7
纯度规格:
99%
产品类别:
天然产物
提取来源:
真菌代谢
来源:
真菌代谢

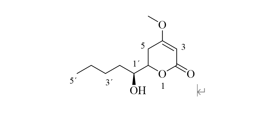
Pestalotin 是一种真菌内酯,是内生真菌 Pestalotiopsis microspore 的次生代谢产物。Pestalotin is a fungal metabolite originally isolated from P. cryptomeriaecola with diverse biological activities. It induces reducing sugar release in embryoless rice endosperms when used at concentrations ranging from 3 to 100 mg/L and enhances growth of rice seedlings (O. sativa) when used in combination with gibberellin A3 at concentrations ranging from 30 to 500 mg/L. Pestalotin has antifungal activity, reducing the growth of C. albicans, C. neoformans, T. rubrum, and A. fumigatus (MICs = 12.5, 50, 50, and 50 μg/ml, respectively). It is cytotoxic to HL-60, MKN45, LoVo, and A549 cells (IC50s = 64.87-182.92 μM). Pestalotin has been used as a standard for dereplication of natural products.

34565-32-7; pestalotin; pestalotin;

公司简介

真菌代谢物,合成中间体,农药中间体,医药中间体以及其它中间体订制与现货。

成立日期 (6年)
注册资本 100万人民币
员工人数 1-10人
年营业额 ¥ 100万以内
经营模式 工厂,试剂,定制,服务
主营行业 医药中间体,海洋天然产物,分子砌块,有机合成药,天然化学药

内容声明
拨打电话 立即询价