基本信息 产品详情 公司简介 推荐产品
网站主页 化合物 T34692 sphaeropsidin B
  • sphaeropsidin B

sphaeropsidin B

sphaeropsidin B
1000 1mg 起订
4000 10mg 起订
32000 100mg 起订
广西 更新日期:2026-01-29

桂林艾使普林生物科技有限公司

VIP1年
联系人:黄博士
手机:15920419256 拨打
邮箱:huangxishan13@foxmail.com

产品详情:

中文名称:
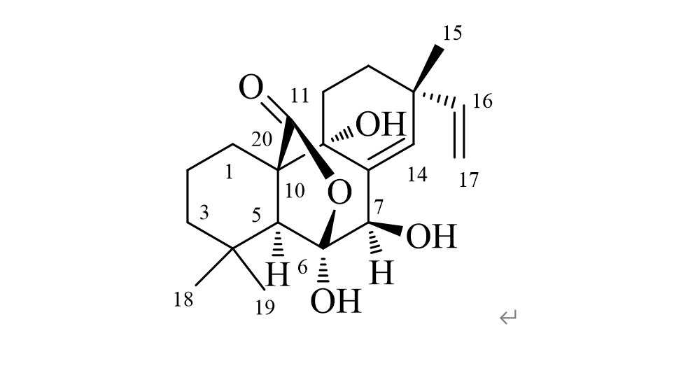
sphaeropsidin B
英文名称:
sphaeropsidin B
CAS号:
39022-38-3
纯度规格:
99%HPLC
产品类别:
天然产物
提取来源:
真菌代谢
来源:
真菌代谢

Sphaeropsidin B显白色结晶,常温下保存或低温存在较稳定,是从一种黑曲霉中发现的海松烷型二萜,文献发现其可能是显著的真菌毒素, is a novel and potent fungal phytotoxinSphaeropsidin B is a gamma-lactone. It has a role as a metabolite.
Sphaeropsidin B has been reported in Diplodia corticola and Aspergillus taichungensis with data available.

39022-38-3;sphaeropsidin B;sphaeropsidin B;

公司简介

真菌代谢物,合成中间体,农药中间体,医药中间体以及其它中间体订制与现货。

成立日期 (6年)
注册资本 100万人民币
员工人数 1-10人
年营业额 ¥ 100万以内
经营模式 工厂,试剂,定制,服务
主营行业 医药中间体,海洋天然产物,分子砌块,有机合成药,天然化学药

sphaeropsidin B相关厂家报价

内容声明
拨打电话 立即询价