基本信息 产品详情 公司简介 推荐产品
网站主页 hydroxymonocerin hydroxymonocerin
  • hydroxymonocerin

hydroxymonocerin

hydroxymonocerin
1000 1mg 起订
4000 10mg 起订
32000 100mg 起订
广西 更新日期:2026-01-29

桂林艾使普林生物科技有限公司

VIP1年
联系人:黄博士
手机:15920419256 拨打
邮箱:huangxishan13@foxmail.com

产品详情:

中文名称:
hydroxymonocerin
英文名称:
hydroxymonocerin
CAS号:
1778734-74-9
纯度规格:
99.9%HPLC
产品类别:
天然产物
提取来源:
真菌代谢
来源:
真菌代谢

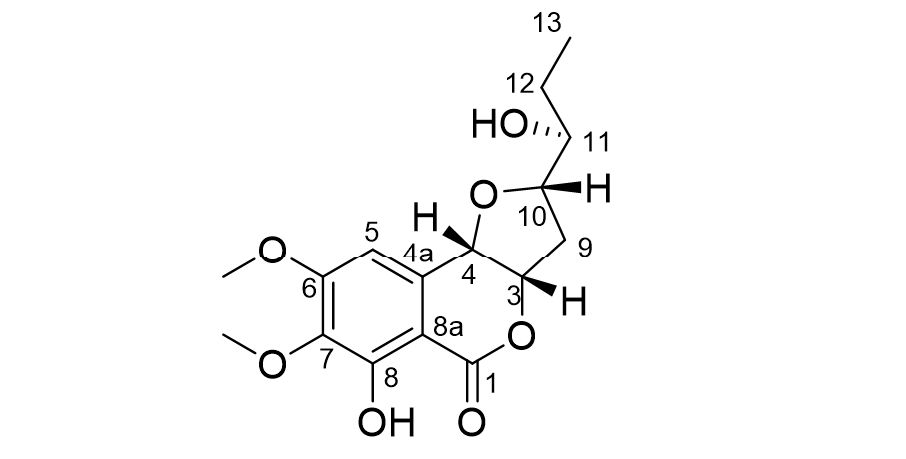
hydroxymonocerin是Monocerin的衍生物,是一种异香豆素衍生物。hydroxymonocerin是从Microdochiumbolleyi中分离出来的,它是一种来自Fagoniacretica的内生真菌。hydroxymonocerin对Microbotryumviolaceum、Escherichiacoli、Bacillusmegaterium和Chlorellafusca显示出良好的抗真菌、抗菌和抗藻类活性。

hydroxymonocerin;hydroxymonocerin;hydroxymonocerin;

公司简介

真菌代谢物,合成中间体,农药中间体,医药中间体以及其它中间体订制与现货。

成立日期 (6年)
注册资本 100万人民币
员工人数 1-10人
年营业额 ¥ 100万以内
经营模式 工厂,试剂,定制,服务
主营行业 医药中间体,海洋天然产物,分子砌块,有机合成药,天然化学药

内容声明
拨打电话 立即询价