网站主页
生物素-PEG3-二硫-DBCO
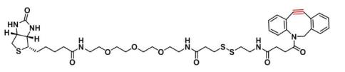
生物素-三聚乙二醇-二硫-二苯并环辛炔
1430408-09-5,Biotin-PEG3-SS-DBCO,生物素-三聚乙二醇-二硫-二苯并环辛炔
Biotin-PEG3-SS-DBCO
询价
5g
起订
10g
起订
50g
起订
陕西 更新日期:2026-03-07
产品详情:
- 中文名称:
- 生物素-三聚乙二醇-二硫-二苯并环辛炔
- 英文名称:
- Biotin-PEG3-SS-DBCO
- CAS号:
- 1430408-09-5
- 品牌:
- xingbieak
- 产地:
- 陕西西安
- 保存条件:
- -20℃
- 纯度规格:
- 95%
- 产品类别:
- 染料
- 是否进口:
- 否
- 用途:
- 科研
- 产品规格:
- mg
- 别名:
- DBCO-生物素衍生物,生物素-PEG3-二硫-DBCO
- 分子式:
- C42H56N6O8S3
- 分子量:
- 869.12
- 存储时间:
- 一年
- 销售范围:
- 全国
公司简介
陕西星贝爱科生物科技有限责任公司是西北一家从事经营进口科研试剂销售公司,科研试剂主要涉及生命科学、医
学及药学,生命科学试剂供应商之一
| 成立日期 | (4年) |
| 注册资本 | 100万元 |
| 员工人数 | 1-10人 |
| 年营业额 | ¥ 100万以内 |
| 经营模式 | 贸易,试剂,定制 |
| 主营行业 | 生物材料,纳米材料,高分子化学,合成材料,通用试剂 |
生物素-三聚乙二醇-二硫-二苯并环辛炔相关厂家报价
-
- 生物素聚乙二醇二苯并环辛炔 Biotin-PEG-DBCO
- 上海拓旸生物科技有限公司 VIP
- 2026-01-21
- 询价
-
- DBCO-PEG-Biotin 二苯并环辛炔-聚乙二醇-生物素
- 西安齐岳生物科技有限公司 VIP
- 2026-02-04
- 询价
-
- 二苯并环辛炔-四聚乙二醇-生物素 1255942-07-4
- 上海升德医药科技有限公司 VIP
- 2026-03-09
- 询价
-
- 生物素-PEG3-二硫-DBCO|T15076|TargetMol
- TargetMol中国(陶术生物) VIP
- 2026-04-02
- ¥371
