基本信息 产品详情 公司简介 推荐产品
网站主页 化工产品目录 生物化工 抑制剂 5-(acetylamino)-3,5-dideoxy-3-fluoro-D-erythro-α-L-manno-2-nonulopyranosonic acid methyl ester 2,4,7,8,9-pentaacetate 3FAx-Neu5Ac
  • 3FAx-Neu5A117405-58-0c

3FAx-Neu5A117405-58-0c

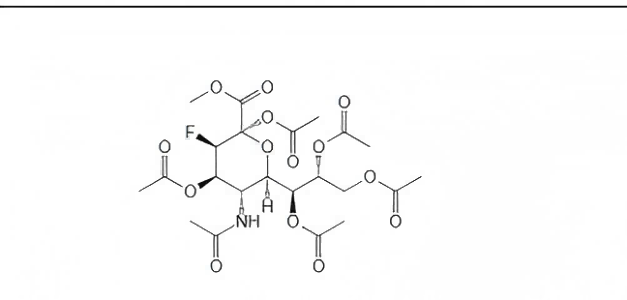
(1S,2R)-1-((2R,3S,4R,6S)-3-Acetamido-4,6-diacetoxy-5-fluoro-6-(methoxycarbonyl)tetrahydro-2H-pyran-2-yl)propane-1,2,3-triyl triacetate
920 1mg 起订
6300 10mg 起订
广东 更新日期:2026-02-25

深圳创元生物医药科技有限公司

VIP1年
联系人:经理
电话:0755-26916280拨打
手机:13602537306 拨打
邮箱:wujing@tronnal.com

产品详情:

中文名称:
3FAx-Neu5Ac
英文名称:
(1S,2R)-1-((2R,3S,4R,6S)-3-Acetamido-4,6-diacetoxy-5-fluoro-6-(methoxycarbonyl)tetrahydro-2H-pyran-2-yl)propane-1,2,3-triyl triacetate
CAS号:
117405-58-0
纯度规格:
98%

117405-58-0 是一种化学对照品,通用名称为 ‌P-3FAX-Neu5Ac‌ 或 ‌3FAx-Neu5Ac‌,是一种唾液酸全乙酰化类似物,属于唾液酸转移酶抑制剂。该化合物在科研中主要用于调控细胞表面糖基化过程,显著降低骨髓细胞或髓系细胞上唾液酸化配体——唾液酸化 Lewis X(sLe^x^)的表达。由于 sLe^x^ 与炎症反应及肿瘤转移过程中选择素(如E-选择素、P-选择素)的结合密切相关,该化合物被用于研究抗转移、抗炎等机制,在小鼠肺转移模型中已显示出抑制转移形成的潜力。


该化合物具有细胞渗透性,进入细胞后经脱乙酰化生成活性形式,从而干扰唾液酸转移酶的功能,实现对糖链修饰的干预。其分子式为 C₂₂H₃₀FNO₁₄,分子量为 551.47,LogP 值约为 1.65,表明具备一定的脂溶性,有利于跨膜运输。物理性质方面,预测密度约为 1.35–1.4 g/cm³,沸点约 606.3 °C,闪点约 320.5 °C,熔点高于 118 °C(分解)。


117405-58-0;

公司简介


成立日期 (7年)
注册资本 620万人民币
员工人数 10-50人
年营业额 ¥ 100万-300万
经营模式 贸易,试剂,定制,服务
主营行业 中间体,标准品和对照品,色谱分析,医药中间体,技术服务

3FAx-Neu5Ac相关厂家报价 更多

  • Neu5Ac
  • Neu5Ac
  • 武汉糖智药业有限公司 VIP
  • 2026-01-07
  • 询价
内容声明
拨打电话 立即询价