基本信息 产品详情 公司简介 推荐产品
网站主页 9-二羟基巴卡亭III 9-二羟基巴卡亭III
  • 9-二羟基巴卡亭III

9-二羟基巴卡亭III

1000 1mg 起订
广东 更新日期:2026-02-25

深圳创元生物医药科技有限公司

VIP1年
联系人:经理
电话:0755-26916280拨打
手机:13602537306 拨打
邮箱:wujing@tronnal.com

产品详情:

中文名称:
9-二羟基巴卡亭III
CAS号:
156168-98-8
纯度规格:
97%

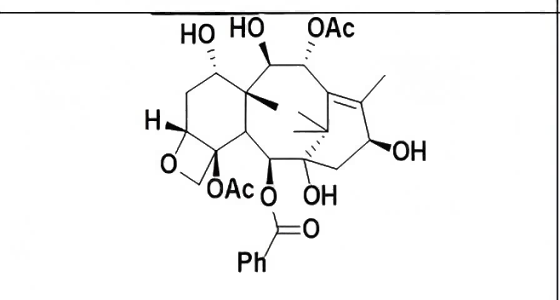
9-二羟基巴卡亭III是白色固体,可溶于甲醇乙醇、DMSO等有机溶剂,Baccatine III衍生物,可用于有机合成中间体,也可用于生化试剂

CAS号 ‌156168-98-8‌ 对应的化合物为 ‌7,9,13-三脱乙酰巴卡丁 VI‌(7,9,13-trideacetylbaccatin VI),是一种重要的紫杉烷类天然产物衍生物,广泛用于抗癌药物(如紫杉醇)的合成前体研究。


基本信息

中文名称‌:7,9,13-三脱乙酰巴卡丁 VI

英文名称‌:7,9,13-Trideacetylbaccatin VI

CAS号‌:156168-98-8

分子式‌:C₃₆H₅₀O₁₀

分子量‌:588.652 g/mol

结构类别‌:紫杉烷二萜类(Taxane diterpenoid)

核心结构特征‌:保留紫杉烷母核的六元环A、八元环B、四元环氧杂环丁烷C,但C-7、C-9、C-13位乙酰基全部脱除,为高度去乙酰化的关键中间体


9-二羟基巴卡亭III;

公司简介


成立日期 (7年)
注册资本 620万人民币
员工人数 10-50人
年营业额 ¥ 100万-300万
经营模式 贸易,试剂,定制,服务
主营行业 中间体,标准品和对照品,色谱分析,医药中间体,技术服务

9-二羟基巴卡亭III相关厂家报价

  • 巴卡亭III
  • 巴卡亭III
  • 深圳大力水手生物科技有限公司
  • 2025-11-17
  • ¥100
内容声明
拨打电话 立即询价