基本信息 产品详情 公司简介 推荐产品
网站主页 化工产品目录 生物化工 提取物 黑麦酮酸D 黑麦酮酸D
  • 黑麦酮酸D

黑麦酮酸D

Secalonic acid D
50000 100mg 起订
5000 10mg 起订
500 1mg 起订
广西 更新日期:2026-01-29

桂林艾使普林生物科技有限公司

VIP1年
联系人:黄博士
手机:15920419256 拨打
邮箱:huangxishan13@foxmail.com

产品详情:

中文名称:
黑麦酮酸D
英文名称:
Secalonic acid D
CAS号:
35287-69-5
产地:
桂林
保存条件:
常温或低温
纯度规格:
98%HPLC
产品类别:
天然产物
提取来源:
真菌
来源:
真菌代谢

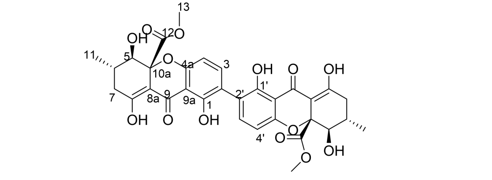
黑麦酮酸D是一种抗肿瘤细胞的有毒化合物。黄色粉末,H NMR 谱初步判断出 1 个甲基信号1 个甲氧基氢信号4 个脂肪族氢信号2 个芳香质子信号,根据偶合常数,推测该化合物中存在 1,2,3,4-四取代苯环;还有 2 个活泼氢信号δC NMR 谱图显示化合物包含 1 个甲基1个甲氧基2 个羰基8 个低场区碳。与文献中已知化合物的数据比对,确 定化合物为 secalonic acid D


黑麦酮酸D;Secalonic acid D;黑麦酮酸;

公司简介

真菌代谢物,合成中间体,农药中间体,医药中间体以及其它中间体订制与现货。

成立日期 (6年)
注册资本 100万人民币
员工人数 1-10人
年营业额 ¥ 100万以内
经营模式 工厂,试剂,定制,服务
主营行业 医药中间体,海洋天然产物,分子砌块,有机合成药,天然化学药

黑麦酮酸D相关厂家报价

内容声明
拨打电话 立即询价