基本信息 产品详情 公司简介 推荐产品
网站主页 化工产品目录 生物化工 生化试剂 烟曲酶毒素 B 曲酶毒素 B
  • fumitremorgin B

fumitremorgin B

fumitremorgin B
300 1mg 起订
2800 10mg 起订
12800 50mg 起订
广西 更新日期:2026-01-29

桂林艾使普林生物科技有限公司

VIP1年
联系人:黄博士
手机:15920419256 拨打
邮箱:huangxishan13@foxmail.com

产品详情:

中文名称:
曲酶毒素 B
英文名称:
fumitremorgin B
CAS号:
12626-17-4
纯度规格:
98%
产品类别:
天然产物
提取来源:
真菌代谢
来源:
真菌代谢

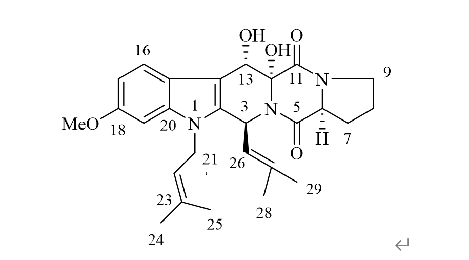
烟曲酶毒素 B 是一种震颤性真菌毒素,别名烟曲酶毒素 B;烟曲霉震颤素B;烟曲霉毒素B;FUMITROMORGIN B。Fumitremorgin B 具有显着的抗真菌活性,MICs 值为 6.25-50 μg/mL。英文别称fumitremorginB;FUMITREMORGENB;(5aR)-1,2,3,5a,6,11,12,14aβ-Octahydro-5aβ,6β-dihydroxy-9-methoxy-11-(3-methyl-2-butenyl)-12α-(2-methyl-1-propenyl)-5H,14H-pyrrolo[1'',2'':4',5']pyrazino[1',2':1,6]pyrido[3,4-b]indole-5,14-dione;Lanosulin;5H,14H-Pyrrolo[1'',2'':4',5']pyrazino[1',2':1,6]pyrido[3,4-b]indole-5,14-dione,1,2,3,5a,6,11,12,14a-octahydro-5a,6-dihydroxy-9-methoxy-11-(3-methyl-2-buten-1-yl)-12-(2-methyl-1-propen-1-yl)-,(5aR,6S,12S,14aS)-;BFumitremorginB;Fumitremorgin


曲酶毒素 B;生物碱;fumitremorgin B;

公司简介

真菌代谢物,合成中间体,农药中间体,医药中间体以及其它中间体订制与现货。

成立日期 (6年)
注册资本 100万人民币
员工人数 1-10人
年营业额 ¥ 100万以内
经营模式 工厂,试剂,定制,服务
主营行业 医药中间体,海洋天然产物,分子砌块,有机合成药,天然化学药

曲酶毒素 B相关厂家报价 更多

内容声明
拨打电话 立即询价