基本信息 产品详情 公司简介 推荐产品
网站主页 Cytosporone C Cytosporone C
  • Cytosporone C

Cytosporone C

Cytosporone C
500 1mg 起订
4500 10mg 起订
22800 50mg 起订
广西 更新日期:2026-01-29

桂林艾使普林生物科技有限公司

VIP1年
联系人:黄博士
手机:15920419256 拨打
邮箱:huangxishan13@foxmail.com

产品详情:

中文名称:
Cytosporone C
英文名称:
Cytosporone C
CAS号:
321661-63-6
纯度规格:
98%
产品类别:
天然产物
提取来源:
真菌代谢
来源:
真菌代谢

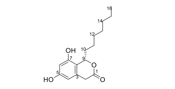
Cytosporone C 是一种来自 Melia azedarach 相关真菌 Diaporthe eucalyptorum 的抗真菌代谢物。Cytosporone C 具有抗真菌活性,可对抗 Alternaria solaniCytosporone C is an antifungal metabolite from the Melia azedarach-Associated Fungus Diaporthe eucalyptorum. Cytosporone C exhibits antifungal activities against Alternaria solani[1]

Cytosporone C;Cytosporone C;Cytosporone C;

公司简介

真菌代谢物,合成中间体,农药中间体,医药中间体以及其它中间体订制与现货。

成立日期 (6年)
注册资本 100万人民币
员工人数 1-10人
年营业额 ¥ 100万以内
经营模式 工厂,试剂,定制,服务
主营行业 医药中间体,海洋天然产物,分子砌块,有机合成药,天然化学药

Cytosporone C相关厂家报价

内容声明
拨打电话 立即询价