基本信息 产品详情 公司简介 推荐产品
网站主页 fonsecinone B fonsecinone B
  • fonsecinone B

fonsecinone B

fonsecinone B
800 1mg 起订
3600 5mg 起订
12000 20mg 起订
广西 更新日期:2026-01-29

桂林艾使普林生物科技有限公司

VIP1年
联系人:黄博士
手机:15920419256 拨打
邮箱:huangxishan13@foxmail.com

产品详情:

中文名称:
fonsecinone B
英文名称:
fonsecinone B
CAS号:
95152-76-4
产品类别:
天然产物
提取来源:
真菌代谢
来源:
真菌代谢

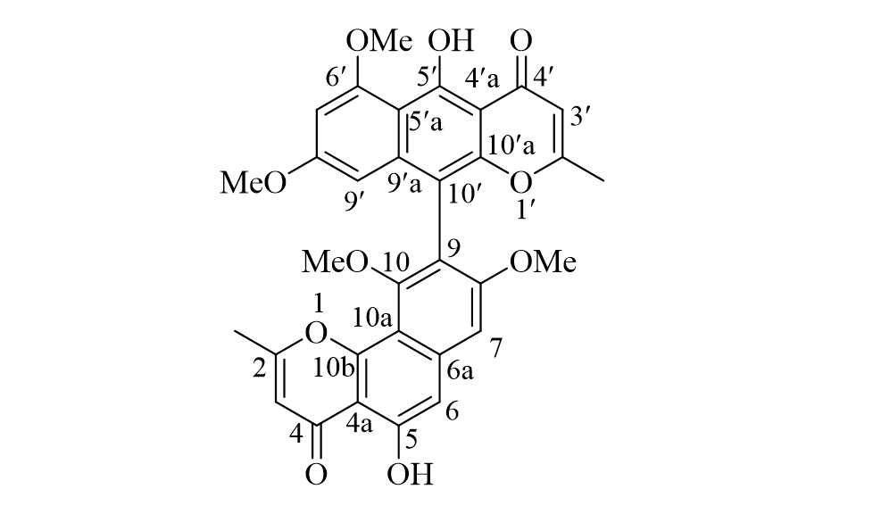
Fonsecinone B is a dimeric naphthopyran with formula C32H28O11, originally isolated from Aspergillus niger. It has a role as an Aspergillus metabolite. It is a biaryl, an aromatic ether, an aromatic ketone, a cyclic hemiketal, a cyclic ketone, a polyphenol and a naphtho-gamma-pyrone.

fonsecinone B;fonsecinone B;fonsecinone B;

公司简介

真菌代谢物,合成中间体,农药中间体,医药中间体以及其它中间体订制与现货。

成立日期 (6年)
注册资本 100万人民币
员工人数 1-10人
年营业额 ¥ 100万以内
经营模式 工厂,试剂,定制,服务
主营行业 医药中间体,海洋天然产物,分子砌块,有机合成药,天然化学药

fonsecinone B相关厂家报价

内容声明
拨打电话 立即询价