基本信息 产品详情 公司简介 推荐产品
网站主页 chrodrimanin A chrodrimanin A
  • chrodrimanin A

chrodrimanin A

chrodrimanin A
800 1mg 起订
3600 5mg 起订
12000 20mg 起订
广西 更新日期:2026-01-29

桂林艾使普林生物科技有限公司

VIP1年
联系人:黄博士
手机:15920419256 拨打
邮箱:huangxishan13@foxmail.com

产品详情:

中文名称:
chrodrimanin A
英文名称:
chrodrimanin A
CAS号:
132196-53-3
产品类别:
天然产物
提取来源:
真菌代谢
来源:
真菌代谢

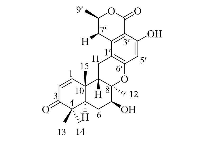
chrodrimanin A为白色粉末,是萜类与酮类聚合的化合物。结构中有显著的活性基团羟基及羰基,是活性基团改性中首选基团。文献曾报道,它具有显著的抗肿瘤、抗炎,细胞毒等活性,是科研中较为突出的天然产物来源分子,真菌代谢的来源的有机小分子,尤其是利用了生物合成所代谢的小分子,有比人工合成更简便的方式。

chrodrimanin A;chrodrimanin A;chrodrimanin A;

公司简介

真菌代谢物,合成中间体,农药中间体,医药中间体以及其它中间体订制与现货。

成立日期 (6年)
注册资本 100万人民币
员工人数 1-10人
年营业额 ¥ 100万以内
经营模式 工厂,试剂,定制,服务
主营行业 医药中间体,海洋天然产物,分子砌块,有机合成药,天然化学药

chrodrimanin A相关厂家报价

内容声明
拨打电话 立即询价