基本信息 产品详情 公司简介 推荐产品
网站主页 MONOCERIN monocerin
  • monocerin

monocerin

monocerin
2000 1mg 起订
8500 5mg 起订
32000 20mg 起订
广西 更新日期:2026-01-29

桂林艾使普林生物科技有限公司

VIP1年
联系人:黄博士
手机:15920419256 拨打
邮箱:huangxishan13@foxmail.com

产品详情:

中文名称:
monocerin
英文名称:
monocerin
CAS号:
30270-60-1
产品类别:
天然产物
提取来源:
真菌代谢
来源:
真菌代谢

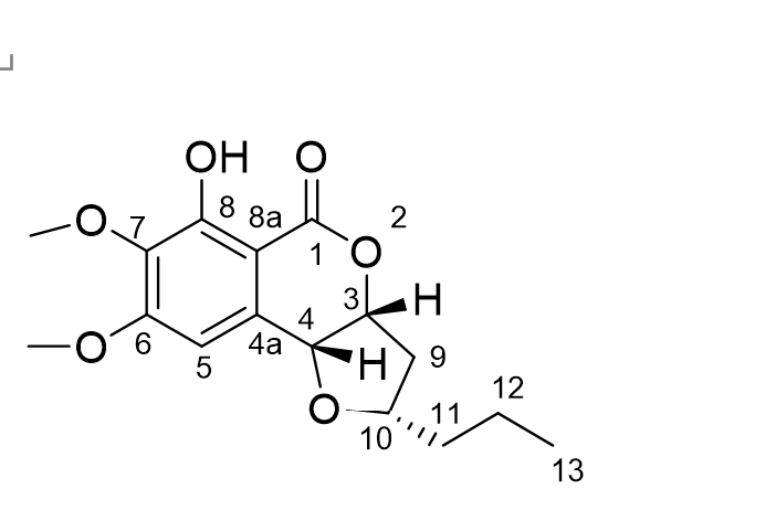
单香豆素是一种异香豆素衍生物。单子叶素是从棉铃虫中分离出来的一种内生真菌。麒麟菜素对紫曲霉菌、大肠杆菌、巨大芽孢杆菌和镰刀菌具有良好的抗真菌、抗菌和抗藻活性.Monocerin是一种异香豆素衍生物。Monocerin是从Microdochiumbolleyi中分离出来的,它是一种来自Fagoniacretica的内生真菌。Monocerin对Microbotryumviolaceum、Escherichiacoli、Bacillusmegaterium和Chlorellafusca显示出良好的抗真菌、抗菌和抗藻类活性。

30270-60-1;monocerin;monocerin;

公司简介

真菌代谢物,合成中间体,农药中间体,医药中间体以及其它中间体订制与现货。

成立日期 (6年)
注册资本 100万人民币
员工人数 1-10人
年营业额 ¥ 100万以内
经营模式 工厂,试剂,定制,服务
主营行业 医药中间体,海洋天然产物,分子砌块,有机合成药,天然化学药

monocerin相关厂家报价

  • Monocerin
  • Monocerin
  • 北京百奥创新科技有限公司
  • 2023-03-10
  • 询价
内容声明
拨打电话 立即询价