基本信息 产品详情 公司简介 推荐产品
网站主页 化工产品目录 分析化学 标准品 药典标准品和杂质标准品 西罗多辛脱氢杂质 赛洛多辛杂质A
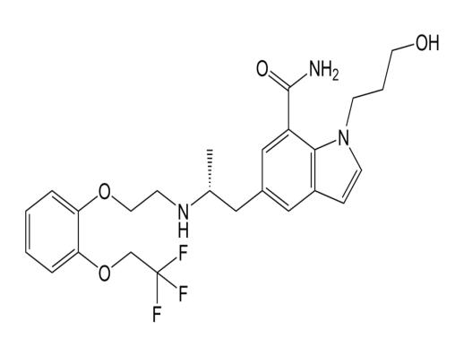
  • 赛洛多辛杂质A  175870-21-0

赛洛多辛杂质A 175870-21-0

(R)-1-(3-hydroxypropyl)-5-(2-((2-(2-(2,2,2-trifluoroethoxy)phenoxy)ethyl)a mino)propyl)-1H-indole-7-carboxamide
询价 100mg 起订
300mg 起订
500mg 起订
江苏 更新日期:2026-03-18

常州峰海医药科技有限公司

VIP1年
联系人:邱经理
手机:13685290895 拨打
邮箱:714842285@qq.com

产品详情:

中文名称:
赛洛多辛杂质A
英文名称:
(R)-1-(3-hydroxypropyl)-5-(2-((2-(2-(2,2,2-trifluoroethoxy)phenoxy)ethyl)a mino)propyl)-1H-indole-7-carboxamide
CAS号:
175870-21-0
品牌:
峰海医药
产地:
江苏
纯度规格:
95+%
产品类别:
杂质对照品 赛洛多辛系列
产品规格:
100mg、300mg、500mg
分子式:
C25H30F3N3O4
分子量:
493.52

中文名:赛洛多辛杂质A

英文名:(R)-1-(3-hydroxypropyl)-5-(2-((2-(2-(2,2,2-trifluoroethoxy)phenoxy)ethyl)a mino)propyl)-1H-indole-7-carboxamide

Cas号:175870-21-0

运输条件:常规运输

 

1. 产品价格紧跟市场,支持公斤级定制和大规模生产,量大从优;

2. 提供COA、HPLC、MS、HNMR等全套检测图谱,品质保障;

3. 部分对照品长期备货,可当天发;

4. 专业研发团队提供定制化服务,满足品质需求,欢迎咨询。

产品咨询:丘经理 13685290895(微信同号)  714842285(QQ)



赛洛多辛杂质;175870-21-0;一手现货;杂质标准品;

公司简介

常州峰海医药科技有限公司有自主实验室进行产品研制,旨在配合下游厂商、加速药品申报流程。 2025年推出氨氯地平全系列杂质现货供应,包含中检院、EP等官方杂质现货。 2026年1月推出新品种奥格列龙,维奈克拉,阿普昔腾坦,氘可来昔替尼等系列杂质现货。 上述品种按照ICH、CDE等药品注册申请法规进行全自主合成,另可提供技术支持。 产品咨询:丘经理 13685290895(微信同号) 714842285(QQ)

成立日期 (2年)
注册资本 200万
员工人数 1-10人
年营业额 ¥ 100万-300万
经营模式 贸易,工厂,定制,服务
主营行业 中间体,化学试剂,医药原料

赛洛多辛杂质A相关厂家报价

内容声明
拨打电话 立即询价