基本信息 产品详情 公司简介 推荐产品
网站主页 腈水合酶 腈水合酶
  • 腈水合酶 82391-37-5
  • 腈水合酶 82391-37-5

1/2

腈水合酶 82391-37-5 新品

Nitrile Hydratase, NHase
500 1g 起订
上海 更新日期:2026-04-09

基尼斯生物科技(上海)有限公司

VIP1年
联系人:赵先生
手机:18017632279 拨打
邮箱:zrbrobin@163.com

产品详情:

中文名称:
腈水合酶
英文名称:
Nitrile Hydratase, NHase
CAS号:
82391-37-5
品牌:
基尼斯
产地:
沪江浙
保存条件:
-20℃储存
用途范围:
腈类转化为手性酰胺
靶点:
种属:
表达系统:

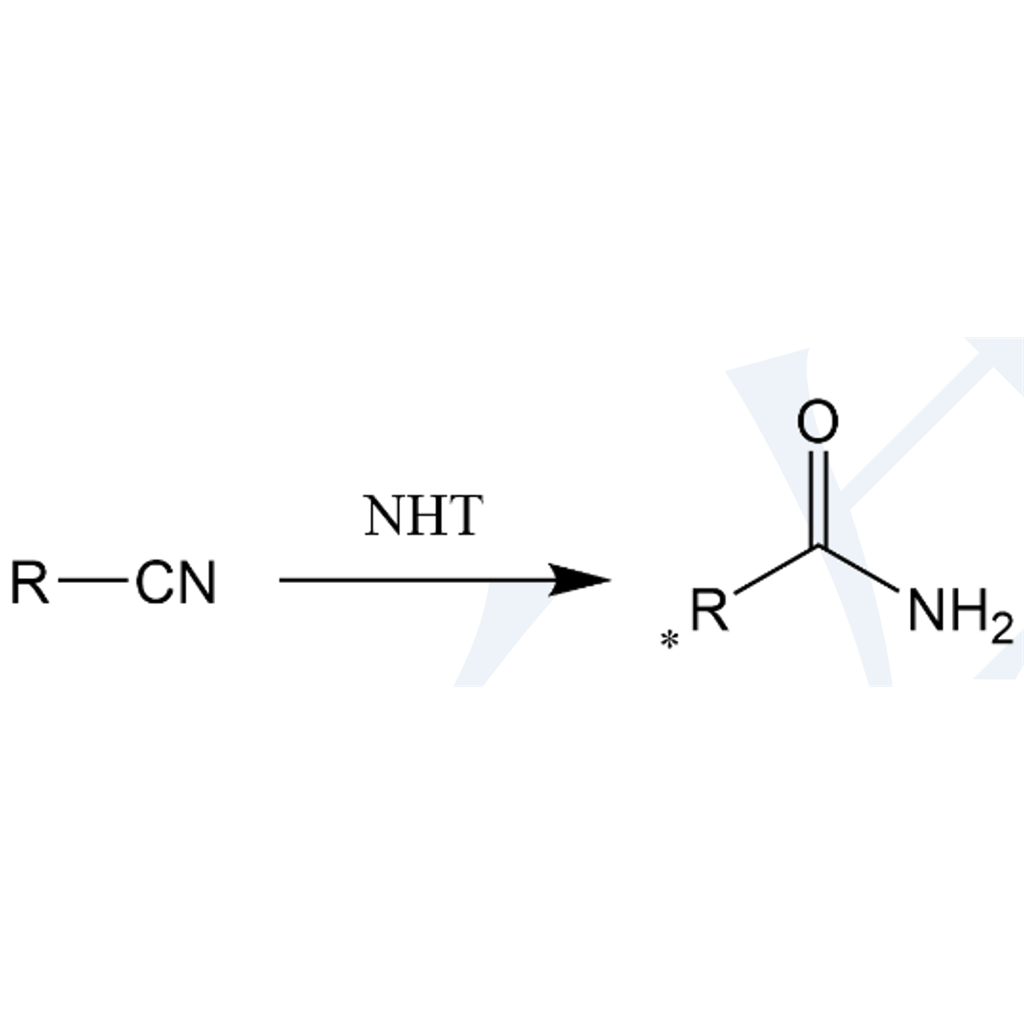
腈水合酶,一种重要的工业生物催化剂,能够催化腈类化合物水合生成相应的酰胺,反应式为:R-CN + H₂O → R-CONH₂。

该酶主要来源于红球菌(Rhodococcus)、假单胞菌(Pseudomonas)等微生物,活性中心含有非血红素铁或钴离子,通过金属离子激活腈基进行亲核加成反应 。

作为第三代生物催化剂,腈水合酶已完全替代传统的硫酸水合法和铜催化法,成为年产超10万吨丙烯酰胺单体生产的核心技术,具有反应条件温和(常温常压)、选择性高、无金属残留等显著优势

此外,该酶在手性药物合成(如西司他丁中间体)、维生素B3(烟酰胺)制备、农药降解及环境污染修复等领域展现出广阔应用前景。

近年来,通过蛋白质工程、固定化技术(如金属有机框架ZIF-67包埋)和定向进化等手段,研究人员显著提升了腈水合酶的热稳定性和操作稳定性,使其催化效率达到110 g·L⁻¹·h⁻¹的时空产率,为大规模工业化应用奠定了坚实基础。








生物催化;

公司简介

基尼斯生物致力于生物合成和绿色化学技术的开发和产业化。公司专注于领先的生物酶催化高新产业,生产具有高附加值的辅酶系列产品、酶、原料药以及其它精细化工产品, 并致力于拓展这些产品的下游产品链并提供完善的酶催化的技术方案。通过整合化学合成和生物转化,选择合理的催化路径极大地提高了产品的效率和品质切大大降低生产成本。公司不断开发核心酶创新技术,并拥有一套从离心、均质、膜滤、纯层析、冻干和固定化的酶的纯化技术及工艺设备。公司目已申报多项专利, 正在同国内国际知名的医药制药企业提供一系列包括技术转让在内的相关产品检测和销售工作。

成立日期 (7年)
注册资本 500万元整
员工人数 1-10人
年营业额 ¥ 100万以内
经营模式 贸易,工厂,试剂,定制,服务
主营行业 中间体,医药中间体,合成材料中间体,香精和香料中间体,其他中间体

腈水合酶相关厂家报价

内容声明
拨打电话 立即询价