基本信息 产品详情 公司简介 推荐产品
网站主页 青霉胺杂质1 青霉胺杂质1
  • 青霉胺杂质1

青霉胺杂质1

Penicillamine Impurity 1
询价 10mg 起订
25mg 起订
50mg 起订
江西 更新日期:2026-03-14

南昌臻石生物科技有限公司

VIP2年
联系人:王宜博
手机:18679828511 拨打
邮箱:408289529@qq.com

产品详情:

中文名称:
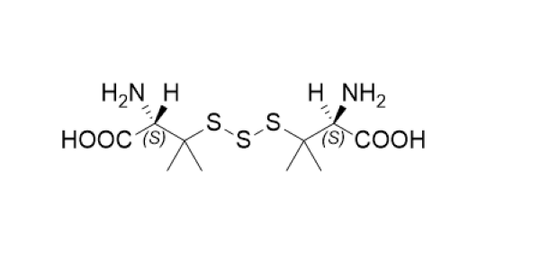
青霉胺杂质1
英文名称:
Penicillamine Impurity 1
CAS号:
22801-32-7
纯度规格:
95%
产品类别:
精细化工品

熔点170-173°C沸点518.9±60.0°C(Predicted)密度1.409±0.06g/cm3(Predicted)储存条件Refrigerator溶解度水(轻微,超声处理)形态固体酸度系数(pKa)1.73±0.12(Predicted)颜色白色至类白色InChIInChI=1S/C10H20N2O4S3/c1-9(2,5(11)7(13)14)17-19-18-10(3,4)6(12)8(15)16/h5-6H,11-12H2,1-4H3,(H,13,14)(H,15,16)/t5-,6-/m0/s1InChIKeyYXNSHRAZIFTXCR-WDSKDSINSA-NSMILESS(C(C)(C)[C@H](C(O)=O)N)SSC(C)(C)[C@H](C(O)=O)N

杂质;

公司简介

化学原料供应,定制合成

成立日期 (4年)
注册资本 50万人民币
员工人数 1-10人
年营业额 ¥ 100万以内
经营模式 贸易,工厂,试剂,定制,服务
主营行业 合成材料中间体,通用试剂,有机金属试剂,分子砌块,原料药

青霉胺杂质1相关厂家报价

内容声明
拨打电话 立即询价