基本信息 产品详情 公司简介 推荐产品
网站主页 3-(2-甲氧基-3-硝基苯基)-1H-1,2,4-三唑 氘可来昔替尼杂质6
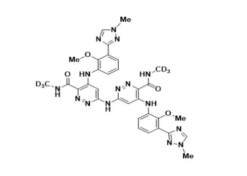
  • 氘可来昔替尼杂质6

氘可来昔替尼杂质6

Deucravacitinib Impurity 6
询价 100mg 起订
300mg 起订
500mg 起订
江苏 更新日期:2026-03-18

常州峰海医药科技有限公司

VIP1年
联系人:邱经理
手机:13685290895 拨打
邮箱:714842285@qq.com

产品详情:

中文名称:
氘可来昔替尼杂质6
英文名称:
Deucravacitinib Impurity 6
品牌:
峰海医药
产地:
江苏
纯度规格:
95+%
产品类别:
杂质对照品 氘可来昔替尼系列
产品规格:
100mg、300mg、500mg
分子式:
C32H27D6N15O4
分子量:
697.32

中文名:氘可来昔替尼杂质6

英文名:Deucravacitinib Impurity 6

运输条件:常规运输


1.产品价格紧跟市场,支持公斤级定制和大规模生产,量大从优;

2.提供COA、HPLC、MS、HNMR等全套检测图谱,品质保障;

3.部分对照品长期备货,可当天发;

4.专业研发团队提供定制化服务,满足品质需求,欢迎咨询。

产品咨询:丘经理 13685290895(微信同号)  714842285(QQ)



氘可来昔替尼杂质 ;一手现货;杂质标准品;

公司简介

常州峰海医药科技有限公司有自主实验室进行产品研制,旨在配合下游厂商、加速药品申报流程。 2025年推出氨氯地平全系列杂质现货供应,包含中检院、EP等官方杂质现货。 2026年1月推出新品种奥格列龙,维奈克拉,阿普昔腾坦,氘可来昔替尼等系列杂质现货。 上述品种按照ICH、CDE等药品注册申请法规进行全自主合成,另可提供技术支持。 产品咨询:丘经理 13685290895(微信同号) 714842285(QQ)

成立日期 (2年)
注册资本 200万
员工人数 1-10人
年营业额 ¥ 100万-300万
经营模式 贸易,工厂,定制,服务
主营行业 中间体,化学试剂,医药原料

氘可来昔替尼杂质6相关厂家报价

内容声明
拨打电话 立即询价