基本信息 产品详情 公司简介 推荐产品
网站主页 化工产品目录 有机原料 有机金属类化合物 有机钯 氯化烯丙基钯(II)二聚物 烯丙基氯化钯
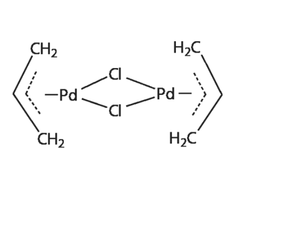
  • 氯化烯丙基钯(II)二聚物
  • 氯化烯丙基钯(II)二聚物

1/2

氯化烯丙基钯(II)二聚物 新品

Allylpalladium(II) Chloride Dimer
518 1g 起订
3899 10g 起订
北京 更新日期:2026-04-08

清远均成高新材料有限公司

VIP1年
联系人:张力学
手机:18316607267 拨打
邮箱:285452@163.com

产品详情:

中文名称:
烯丙基氯化钯
英文名称:
Allylpalladium(II) Chloride Dimer
CAS号:
12012-95-2
品牌:
均成
产地:
广东
保存条件:
惰性气体保护,2-8℃。
纯度规格:
98%以上
产品类别:
二聚钯

物理化学性质

  • 稳定性:在空气中较为稳定,但对湿气敏感,遇水会分解。

  • 熔点:约 120°C(分解)。

  • 溶解性:溶于氯仿、二氯甲烷等有机溶剂,不溶于水。

核心化学反应与应用

  • 交叉偶联反应催化剂:这是其最核心的应用。它可作为钯源,用于构建C-C键的Heck反应、Suzuki-Miyaura反应,以及构建C-N键的Buchwald-Hartwig胺化反应等。

  • 烯丙基化反应与Trost配体:高对映选择性的烯丙基烷基化和氨化反应中,它是有用的前体,也是著名的Trost配体钯催化剂的核心部分。

  • C-H键活化与羰基化反应:在C-H键活化反应中作为催化剂前体,或用于烯烃的羰基化反应中。

  • 合成其他钯络合物的前体:其化学性质活泼,可用于制备更多种类的钯络合物,例如负载型催化剂。

安全与储存使用

  • 危险性:对皮肤、眼睛有刺激性,吸入或吞食有害。

  • 防护措施:操作时需穿戴合适的个人防护装备(如手套、护目镜、防护服)。

  • 储存要求:必须在惰性气体(如氮气或氩气)保护下,于 2-8°C 的冰箱中密封、避光保存,以防其受潮分解。



钯;贵金属;

公司简介

20年深耕C-N偶联的研究,长期稳定供应三联芳膦及其钯催化剂,接定制试剂服务,特别是溴代、碘代联苯类化合物。欢迎关于C-N偶联方面的讨论。

成立日期 (11年)
注册资本 50万元
员工人数 1-10人
年营业额 ¥ 100万以内
经营模式 试剂,定制,服务
主营行业 农药中间体,催化试剂,有机金属试剂,有机合成试剂,液晶中间体

烯丙基氯化钯相关厂家报价 更多

内容声明
拨打电话 立即询价