基本信息 产品详情 公司简介 推荐产品
网站主页 Sulfo-NHS-SS-11-Biotin Sulfo-NHS-SS-11-Biotin
  • Sulfo-NHS-SS-11-Biotin
  • Sulfo-NHS-SS-11-Biotin
  • Sulfo-NHS-SS-11-Biotin
  • Sulfo-NHS-SS-11-Biotin
  • Sulfo-NHS-SS-11-Biotin

1/5

Sulfo-NHS-SS-11-Biotin 新品

Sulfo-NHS-SS-11-Biotin
询价 1g 起订
10g 起订
1000g 起订
陕西 更新日期:2026-04-16

西安强化生物科技有限公司

VIP1年
联系人:
电话:029-15339237155拨打
手机:15339237155 拨打
邮箱:2229108118@qq.com

产品详情:

中文名称:
Sulfo-NHS-SS-11-Biotin
英文名称:
Sulfo-NHS-SS-11-Biotin
品牌:
西安强化
产地:
陕西
保存条件:
-20℃,同时需确保环境干燥、避光、防潮
纯度规格:
95%
产品类别:
点击化学
是否进口:
用途:
科研实验
产品规格:
g

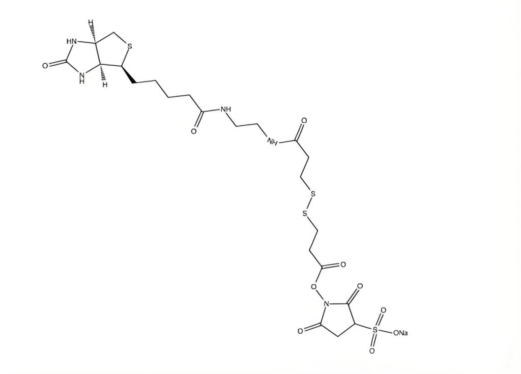
【标识信息】

- 品名(英):Sulfo-NHS-SS-11-Biotin

- 分子式:C22H32N5NaO10S4

- 分子量:677.77

- 外观形态:固体

- 纯度等级:≥95%

- 储存条件:-20℃,干燥、避光、防潮

- 试剂厂家:西安强化生物

【基本简介】

Sulfo-NHS-SS-11-Biotin是一款水溶性的、可裂解的胺反应型生物素化试剂,结合了磺基琥珀酰亚胺酯(Sulfo-NHS)的水溶性、二硫键(SS)的还原敏感性以及长链(11)的空间优势。

结构组成】

磺酸基(Sulfo):赋予分子水溶性,使其可在水相体系中直接与生物分子反应,无需有机溶剂助溶,提升生物相容性。

NHS酯基团:能与氨基高效反应生成酰胺键,实现生物素的偶联。

二硫键(-SS-):具有还原响应性,可在还原剂(如二硫苏糖醇,DTT)作用下断裂,实现生物素化分子的可控解离。

生物素(Biotin):可与链霉亲和素(Streptavidin)发生特异性、高强度结合,这一相互作用是生物检测中的经典体系。

使用注意事项】

储存条件:建议在-20℃下干燥、避光保存,并尽量避免频繁解冻冻融。

反应条件:控制反应时间与温度,避免过度标记影响蛋白质活性。同时DTT洗脱时需优化浓度,确保双硫键完全断裂且不损伤蛋白质。

安全操作:仅用于科研实验,不能用于人体实验。操作时需佩戴防护装备,避免接触皮肤和眼睛。

推荐试剂

TAMRA-Azide-PEG-Biotin

ATTO 680 maleimide

ATTO 594-Biotin

ATTO 514-Biotin

DBCO-SS-PEG4-Biotin

Phalloidin-ATTO 514

Anti-Rabbit IgG-ATTO 594 antibody produced in goat

Phalloidin-ATTO 520

Anti-Rabbit IgG-ATTO 488 antibody produced in goat

ATTO 665 Biotin

Pyrene-PEG5-biotin

ATTO Rho13 Biotin

NIR4

Biotin-11-dUTP

ATTO 520-Biotin

本文由【西安强化生物】编辑乐乐整理,内容仅供科研参考,不用于临床诊断。


Sulfo-NHS-SS-11-Biot;

公司简介

西安强化生物科技有限公司位于陕西省西安市未央区,传承十三朝古都历史文化底蕴,融合西安“开放包容、务实创新”的地域文化基因,秉持“科技创新驱动发展,产学研协同共赢”的核心理念,依托由多名博士组建的专业研发团队,聚焦高新生物制品、医药中间体及生物催化材料研发,为制药企业及科研机构提供从克级到公斤级的产品定制开发、工艺优化及质量检测服务。 通过深度联动西安交通大学、西北大学等高校科研资源,公司构建“基础研究-技术开发-产业应用”全链条协同体系,重点突破酶工程、合成生物学等领域技术瓶颈。依托未央区生物医药产业集聚优势,持续推动生物制造技术转化,践行"科技赋能医药未来"的企业使命。

成立日期 (7年)
注册资本 叁佰万
员工人数 10-50人
年营业额 ¥ 100万以内
经营模式 试剂,定制,服务
主营行业 生物材料,生化试剂,生物技术服务

Sulfo-NHS-SS-11-Biotin相关厂家报价

内容声明
拨打电话 立即询价