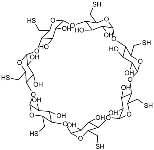
全巯基阿尔法环糊精
Hexakis-(6-mercapto-6-deoxy)-α-cyclodextrin
询价
1G
起订
山东 更新日期:2024-04-16
产品详情:
- 中文名称:
- 全巯基阿尔法环糊精
- 英文名称:
- Hexakis-(6-mercapto-6-deoxy)-α-cyclodextrin
- CAS号:
- 180839-60-5
- 保存条件:
- 室温密闭保存
- 纯度规格:
- 98
- 产品类别:
- 环糊精试剂 巯基环糊精
公司简介
智源生物技术力量雄厚,与山东大学、中科院等国内外一流大学、科研院所拥有密切的合作关系。
智源生物药品资质齐全,已经在美国FDA登记备案,羟丙基环糊精批准文号:鲁药准字F2015001,DMF备案号030168;磺丁基醚倍他环糊精钠盐注册受理号:CXFS1500004鲁,DMF备案号030167。 羟丙基倍他环糊精,磺丁基倍他环糊精,甲基倍他环糊精,吡罗昔康倍他环糊精,薄荷醇倍他环糊精,环糊精试剂、包合物 如有需要 联系我 13020624037 0543-8186048
| 成立日期 | (16年) |
| 注册资本 | 500万 |
| 员工人数 | 50-100人 |
| 年营业额 | ¥ 1000万-5000万 |
| 经营模式 | 工厂,定制 |
| 主营行业 | 医药中间体,食品添加剂,通用试剂,有机合成药,天然化学药 |
全巯基阿尔法环糊精相关厂家报价
-
- 全巯基阿尔法环糊精
- 山东滨州智源生物科技有限公司
- 2024-04-16
- ¥600
-
- 羟丙基倍他环糊精;羟丙基-β-环糊精 128446-35-5
- 湖北威德利化学科技有限公司 VIP
- 2026-04-17
- ¥680
-
- α-环糊精;阿尔法环糊精;阿法环糊精
- 湖北恒硕化工有限公司 VIP
- 2026-04-17
- ¥168
-
- 羟丙基-BETA-环糊精;羟丙基-β-环糊精
- 广州远达新材料有限公司 VIP
- 2026-04-17
- 询价
