基本信息 产品详情 公司简介 推荐产品
网站主页 化工产品目录 化学试剂 有机试剂 多环化合物 聚[(N,N'-(4-正丁基苯基)-N,N'-二苯基-1,4-苯二胺)-ALT-(9,9-二正辛基芴基-2,7-二基)] 聚[(9,9-二正辛基芴基-2,7-二基) -alt- (4,4'-(N-(4-正丁基)苯基)-二苯胺)]
  • 聚[(9,9-二正辛基芴基-2,7-二基) -alt- (4,4'-(N-(4-正丁基)苯基)-二苯胺)]

聚[(9,9-二正辛基芴基-2,7-二基) -alt- (4,4'-(N-(4-正丁基)苯基)-二苯胺)]

Poly[(9,9-dioctylfluorenyl-2,7-diyl)-alt-(4,4'-(N-(4-butylphenyl)
询价 1G 起订
陕西 更新日期:2022-03-09

西安齐岳生物科技有限公司

非会员
联系人:王利霞
电话:400-6966-012拨打
手机:17791969950 拨打
邮箱:3202480434@qq.com

产品详情:

中文名称:
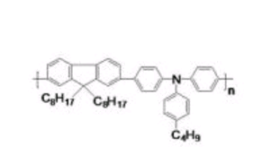
聚[(9,9-二正辛基芴基-2,7-二基) -alt- (4,4'-(N-(4-正丁基)苯基)-二苯胺)]
英文名称:
Poly[(9,9-dioctylfluorenyl-2,7-diyl)-alt-(4,4'-(N-(4-butylphenyl)
CAS号:
223569-31-1
保存条件:
-20℃
纯度规格:
99
产品类别:
化学试剂 光电化学品

供应223569-31-1,TFB 齐岳生物

产品描述

聚[(9,9-二正辛基芴基-2,7-二基) -alt- (4,4'-(N-(4-正丁基)苯基)-二苯胺)]
Poly[(9,9-dioctylfluorenyl-2,7-diyl)-alt-(4,4'-(N-(4-butylphenyl)

Synonym: TFB

 

 

CAS Number:

 223569-31-1

 MDL Number:

 NA

 Linear Formula:

 (C51H61N2)n

 Mol. Weight :

 Mw 10,000-100,000 by GPC

 Appearance:

 Pale Yellow Powder

 Solubility:

 High soluble in Chloroform,THF,Toluene and Chlorobenzene et al

 Fluorescence:

 λPL 440 nm in THF

 UV-Vis absorption:

 λabs 389 nm in THF

 Packaging:

 0.5 g, 1 g, 5 g, or as required in glass bottle

 Store:

 2-8℃ under N2 atmosphere

 Notes:

 GPC & 1HNMR spectra, user instruction for enquiring

223569-31-1;TFB

公司简介

西安齐岳生物科技有限公司是一家从事化工原料、生化试制、生命科学、原料药、抑制剂、酶、材料科学、化工仪器、技术承包的研发、生产和销售于一体的高新技术企业。

成立日期 (11年)
注册资本 叁万元人民币
员工人数 1-10人
年营业额 ¥ 100万以内
经营模式 试剂
主营行业 高纯试剂

聚[(9,9-二正辛基芴基-2,7-二基) -alt- (4,4'-(N-(4-正丁基)苯基)-二苯胺)]相关厂家报价

内容声明
拨打电话 立即询价