基本信息 产品详情 公司简介 推荐产品
网站主页 化工产品目录 原料药 人工合成抗感染类药 消毒防腐药 醋酸氯己定 醋酸氯己定
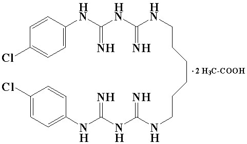
  • 醋酸氯己定

醋酸氯己定

Chlorhexidine Acetate
56-95-1
200 25KG 起订
陕西 更新日期:2026-04-22

西安方昊化工有限公司

非会员
联系人:李***
电话:029***
手机:133***
邮箱:sal***

产品详情:

中文名称:
醋酸氯己定
英文名称:
Chlorhexidine Acetate
CAS号:
56-95-1
保存条件:
遮光,密闭容器内保存
纯度规格:
99
产品类别:
医药原料 抑菌消毒用原料

产品名称:醋酸洗必泰

别名:醋酸氯己定;醋酸氯乙定;洗必泰醋酸盐

英文名称:Chlorhexidine Acetate

CAS No.: 56-95-1

质量标准:CP2015; USP;EP;BP

产品性状:白色结晶性粉末

含量:99%+

西安方昊化工有限公司,是一家专业生产氯己定系列产品的厂家。公司拥有生产氯己定十多年的经验丰富的高级工程师,产品远销海外多个国家和地区。

公司的氯己定系列产品主要包括:

1,6-双氰基胍基己烷  1,6-Hexamethylene-Bis-Cyanoguanidine   (CAS No.: 15894-70-9)

氯己定   Chlorhexidine Base  (CAS No.: 55-56-1)

葡萄糖酸氯己定  Chlorhexidine Digluconate   (CAS No.: 18472-51-0)

醋酸氯己定 Chlorhexidine Acetate (CAS No.: 56-95-1)

盐酸氯己定 Chlorhexidine Hydrochloride  (CAS No.: 3697-42-5)

聚六亚甲基双胍盐酸盐  Polyhexamethylene Biguanidine Hydrochloride   (CAS No.: 32289-58-0)

 

醋酸氯己定;醋酸洗必泰;洗必泰醋酸盐

公司简介

  西安方昊化工有限公司成立于2012年,现有员工60余人,其中中高级技术人才占30%,是集研发、生产、技术服务于一体的医药化工型科技企业。   本公司主要从事医药中间体、原料药、生物制品、精细化工品等多个领域研发、生产与销售。与上海有机所、兰州大学合作,有一批由工程师、研究生组成的队伍,并配备了国际一流的分析检测设备,具有强大的新品开发和工艺改进能力。常规产品依替膦酸钠、甲基硫氧嘧啶、乙酰甘氨酸、果糖二丙酮及氯己定(洗必泰)系列(1,6-双氰基胍基己烷、氯己定游离碱、醋酸氯己定、葡萄糖酸氯己定、盐酸氯己定),邻苯二甲酰亚胺系列(邻苯二甲酰亚胺,N-羟甲基邻二甲酰亚胺)

成立日期 (14年)
注册资本 500万人民币
员工人数 10-50人
年营业额 ¥ 1000万-5000万
经营模式 工厂,定制
主营行业 医药原料

醋酸氯己定相关厂家报价 更多

内容声明
拨打电话 立即询价