基本信息 产品详情 公司简介 推荐产品
网站主页 化工产品目录 原料药 抗寄生虫病药 抗丝虫病及抗利什曼原虫病药 葡萄糖酸锑钠 葡萄糖酸锑钠
  • 葡萄糖酸锑钠

葡萄糖酸锑钠

sodium stibogluconate
16037-91-5
75000 25kg 起订
湖北 更新日期:2026-04-07

威尔曼医药集团有限公司

VIP10年
联系人:魏浩
电话:18971451745拨打
手机:18971451745 拨打
邮箱:15807197853@163.com

产品详情:

中文名称:
葡萄糖酸锑钠
英文名称:
sodium stibogluconate
CAS号:
16037-91-5
保存条件:
低温密封干燥储存
纯度规格:
99.5
产品类别:
医药原料药 科研原料

生产科研试剂葡萄糖酸锑钠厂家湖北威德利报价信息


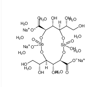
中文名    葡萄糖酸锑钠批发价格

英文名     sodium stibogluconate


CAS      16037-91-5

分子式  C12H37Na3O27Sb2    分子量  925.89500


性状 本品为白色至微显淡黄色的无定形粉末;无臭;水溶液显右旋性。

本品在热水中易溶,在水中溶解,在乙醇或乙醚中不溶


含量≥99% 

氯化物≤0.056% 硫酸盐≤0.04% 干燥失重≤15% 铅盐≤0.02%  PH5.0%-7.0%


包装 25KG/纸板桶  这关干燥密封储存 有效期2年


葡萄糖酸锑钠厂家;葡萄糖酸锑钠市场价格;葡萄糖酸锑钠化学试剂;

公司简介

湖北威德利化学 ---公司简介 湖北威德利化学科技有限公司位于湖北武汉市,是一家专业从事科研化学试剂、生物化工原材料、中间体、精细化工、农用科研原料、日用化学品和食品添加剂等高新技术产品研究、开发、生产和出口销售。 威德利化学采用现代化管理模式及时有效的为国内外客户提供全方位、便捷和完善的产品技术服务。公司奉行以“质量为生命,科技为先导,创新求生存,诚信为本”的企业宗旨,坚持“团结拼搏,追求卓越,精益求精,合作发展”的企业理念,诚挚与国内外同仁精诚合作,互利互惠,携手共赢。 优势科研化学试剂原料产品:盐酸米诺环素;盐酸去甲金霉素;萘普生;萘普生钠;盐酸万古霉素;万古霉素碱;硫酸庆大霉素;两性霉素B;达托霉素;替考拉宁;妥布霉素;硫酸妥布霉素;普伐他汀钠;盐酸莫西沙星;伊曲康唑;盐酸特比萘芬;氯唑苄星青霉素;苄星氯唑西林;苄星邻氯青霉素;阿奇霉素;克拉霉素;灰黄霉素;氨甲环酸;传明酸;酚磺乙胺;盐酸头孢吡肟;头孢丙烯;头孢布烯;头孢西丁钠;头孢唑林钠;头孢唑肟钠;氨曲南;葡甲胺;葡乙胺;帕托珠利;癸氧喹酯;非班太尔;潮霉素B;特美汀;替卡西林钠;羧苄西林钠;枸橼酸马罗匹坦;马来酸奥拉替尼;美罗培南

成立日期 (13年)
注册资本 USD2500000
员工人数 50-100人
年营业额 ¥ 300万-500万
经营模式 贸易,工厂,试剂,定制
主营行业 其他中间体,通用试剂,手性化学试剂,催化试剂

葡萄糖酸锑钠相关厂家报价 更多

内容声明
拨打电话 立即询价