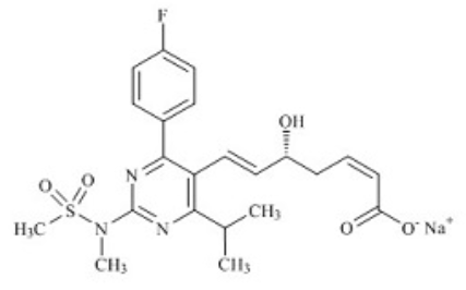
Rosuvastatin dehydro analog
Rosuvastatin dehydro analog
询价
25 mg
起订
上海 更新日期:2025-07-05
产品详情:
- 英文名称:
- Rosuvastatin dehydro analog
- CAS号:
- 1659301-59-3
- 纯度规格:
- 95%
- 产品类别:
- 杂质
公司简介
上海孚一生物科技有限公司是一家专门从事化学定制合成的高新科技技术企业。公司主要研发和定制合成原料药杂质,拥有自己的研发生产中心,有一支高素质的专业技术队伍,具有丰富的经验为国内外企业提供技术及产品服务
| 成立日期 | (13年) |
| 注册资本 | 100万人民币 |
| 员工人数 | 10-50人 |
| 年营业额 | ¥ 100万以内 |
| 经营模式 | 贸易,定制 |
| 主营行业 | 原料药,有机合成药,四环素类 |
Rosuvastatin dehydro analog相关厂家报价
-
- 优势供应瑞舒伐他汀杂质73
- 湖北扬信医药科技有限公司
- 2025-07-05
- 询价
-
- “2-溴异香兰素”2973-59-3高纯中间体
- 湖北阡陌生物科技有限公司 VIP
- 2026-04-20
- ¥500
-
- 4-氰基吡啶-N-氧化物
- 南京百慕达生物科技有限公司 VIP
- 2026-04-20
- 询价
-
- 2-(三氟甲氧基)苯磺酰胺
- 武汉弘德悦欣医药科技有限公司 VIP
- 2026-04-20
- 询价