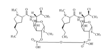
克林霉素磷酸酯EP杂质K
Diclindamycin Pyrophosphate/Clindamycin Phosphate EP Impurity K
询价
25 mg
起订
上海 更新日期:2019-02-26
产品详情:
- 中文名称:
- 克林霉素磷酸酯EP杂质K
- 英文名称:
- Diclindamycin Pyrophosphate/Clindamycin Phosphate EP Impurity K
- 纯度规格:
- 95%
- 产品类别:
- 杂质
公司简介
上海孚一生物科技有限公司是一家专门从事化学定制合成的高新科技技术企业。公司主要研发和定制合成原料药杂质,拥有自己的研发生产中心,有一支高素质的专业技术队伍,具有丰富的经验为国内外企业提供技术及产品服务
| 成立日期 | (13年) |
| 注册资本 | 100万人民币 |
| 员工人数 | 10-50人 |
| 年营业额 | ¥ 100万以内 |
| 经营模式 | 贸易,定制 |
| 主营行业 | 原料药,有机合成药,四环素类 |
克林霉素磷酸酯EP杂质K相关厂家报价 更多
-
- 克林霉素磷酸酯EP杂质K
- 湖北摩科化学有限公司 VIP
- 2026-02-05
- 询价
-
- 克林霉素杂质10 (磷酸克林霉素EP杂质A)(盐酸克林霉素EP杂质A)
- 湖北扬信医药科技有限公司 VIP
- 2026-04-21
- ¥1000
-
- 火爆杂质克林霉素磷酸酯EP杂质I供货
- 深圳摩科生化科技有限公司 VIP
- 2026-04-21
- ¥500
-
- 克林霉素3-磷酸;克林霉素磷酸酯EP杂质C
- 深圳振强生物技术有限公司 VIP
- 2026-04-16
- 询价