基本信息 产品详情 公司简介 推荐产品
网站主页 1αH,5αH-Guaia-6-ene-4β,10β-diol #天然产物 HY-N5081
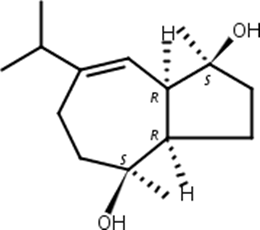
  • 1αH,5αH-guaia-6-ene-4β,10β-diol

1αH,5αH-guaia-6-ene-4β,10β-diol

1αH,5αH-guaia-6-ene-4β,10β-diol
询价 5mg 起订
10mg 起订
20mg 起订
50mg 起订
100mg 起订
200mg 起订
500mg 起订
1g 起订
四川 更新日期:2026-04-14

四川省维克奇生物科技有限公司

VIP13年
联系人:韩先珍
电话:028-81700200拨打
手机:18116577057 拨打
邮箱:3003855609@qq.com

产品详情:

英文名称:
1αH,5αH-guaia-6-ene-4β,10β-diol
CAS号:
2013537-81-8
保存条件:
2-8°C,干燥、避光、密封
纯度规格:
HPLC≥95.0%
产品类别:
中药对照品

wkq-05726

英文名称:1αH,5αH-guaia-6-ene-4β,10β-diol

英文别名:(1S,3aR,4S,8aR)-1,2,3,3a,4,5,6,8a-Octahydro-1,4-dimethyl-7-(1-methylethyl)-1,4-azulenediol

分 子 式:C15 H26 O2

分 子 量:238.37

C A S号:2013537-81-8

纯 度:HPLC≥95.0%

沸 点(预测值):343.2±42.0 °C | Condition: Press: 760 Torr

密度:1.024±0.06 g/cm3 | Condition: Temp: 20 °C Press: 760 Torr

酸度系数pKa :14.78±0.60 | Condition: Most Acidic Temp: 25 °C

储存条件:2-8°C,干燥、避光、密封

规格:20mg 50mg 100mg 500mg 1g 2g等应客户需求包装

供应单位:四川省维克奇生物科技有限公司

供应电话:028-81700200 4008005713

四川省维克奇生物和中国科学院成都生物研究所建立的联合实验室,生产中药类标准品和天然植物有效单体,主打中药对照品/标准品/天然植物有效单体,化学合成,抗生素三大板块。公司推出平贝系列、丹参系列、龙胆系列、虫草系列等,敬请关注!

新批次有现货,欢迎咨询。

2013537-81-8

公司简介

四川省维克奇生物科技有限公司成立于2006年,注册资本100万元,是四川省成都市一家专业从事天然药物纯化分离中药对照品\标准品的集生产研发,销售于一体的公司。 多年的积累,公司拥有一批精密的分离和检测设备;拥有有一批技术精湛的研究队伍;拥有一套完整的质量管理体系;拥有以下系列成熟的分离纯化工艺:甘草系列、人参系列、补骨脂系列、雷公藤系列、银杏系列、黄芪皂苷系列、黄芩系列、柴胡系列、酸枣仁系列、重楼系列、五味子系列、大黄系列、丹参系列、柴胡系列、远志系列等。公司不断围绕提高产品质量和开发新产品为中心,在专注于开发国内市场的同时,不断开发国际市场,目前已远销香港,台湾,韩国,日本,加拿大,印度,美

成立日期 (20年)
注册资本 100 万元人民币
员工人数 10-50人
年营业额 ¥ 100万以内
经营模式 试剂
主营行业 医药中间体,高纯试剂,天然化学药,中草药提取物

1αH,5αH-guaia-6-ene-4β,10β-diol相关厂家报价

内容声明
拨打电话 立即询价