基本信息 产品详情 公司简介 推荐产品
网站主页 化工产品目录 分析化学 标准品 药典标准品和杂质标准品 左氧氟沙星杂质18 左氧氟沙星杂质 18
  • 左氧氟沙星杂质 18

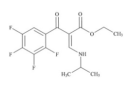
左氧氟沙星杂质 18

Levofloxacin impurity 18
询价 25mg 起订
湖南 更新日期:2026-02-11

衡阳稼轩生物科技有限公司

非会员
联系人:冯***
手机:186***
邮箱:675***

产品详情:

中文名称:
左氧氟沙星杂质 18
英文名称:
Levofloxacin impurity 18
CAS号:
138998-47-7
纯度规格:
95+
产品类别:
杂质世界 左氧氟沙星
分子式:
C15H15F4NO3
分子量:
333.28

左氧氟沙星杂质 18信息速递

 

左氧氟沙星杂质 18

CAS No. 138998-47-7

C15H15F4NO3

M.W. 333.28

 

左氧氟沙星具有卓越的体外活性,比氧氟沙星毒副作用小、安全性大以及良好的药代动力学性质。可广泛应用于呼吸道感染、妇科疾病感染、皮肤和软组织感染、外科感染、胆道感染、性传播疾病以及耳鼻口腔科感染等多种细菌感染的一种口服或肠胃外用的广谱氟喹诺酮抗菌药物。
 
药物的杂质是指药物中存在的无治疗作用或者影响药物的稳定性、疗效,甚至对人体的健康有害的物质。在药物的研究、生产、贮存和临床应用等方面,必须保持药物的纯度,降低药物的杂质,这样才能保证药物的有效性和安全性。通常可以将药物的结构、外观性状、理化常数、杂质检查和含量测定等方面作为一个相互关联的整体来评价药物的纯度。药物中含有的杂质是影响药物纯度的主要因素,如药物中含有超过限量的杂质,就有可能使理化常数变动,外观性状产生变异,并影响药物的稳定性;杂质增多也必然使药物的含量偏低或活性降低,毒副作用显著增加。因此,药物的杂质检查是控制药物纯度,提高药品质量的一个非常重要的环节;

左氧氟沙星杂质 18;138998-47-7

公司简介

阿托伐他汀EP药典杂质,氨氯地平EP药典杂质,奥氮平EP药典杂质,环丙沙星EP药典杂质,头孢氨苄EP药典杂质,头孢米诺EP药典杂质,头孢托仑酯三个新品种,左氧氟沙星EP药典杂质,莫西沙星EP杂质,专业定制糖Block、UDP糖、GDP糖类品种。

成立日期 (7年)
注册资本 100万
员工人数 1-10人
年营业额 ¥ 100万以内
经营模式 工厂
主营行业 标准品和对照品,原料药

左氧氟沙星杂质 18相关厂家报价

内容声明
拨打电话 立即询价