基本信息 产品详情 公司简介 推荐产品
网站主页 化工产品目录 分析化学 标准品 药典标准品和杂质标准品 头孢拉定杂质2 头孢氨苄杂质J
  • 头孢氨苄杂质J

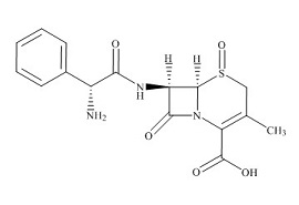
头孢氨苄杂质J

Cephalexin impurity J
询价 25mg 起订
湖南 更新日期:2022-10-14

衡阳稼轩生物科技有限公司

非会员
联系人:冯***
手机:186***
邮箱:675***

产品详情:

中文名称:
头孢氨苄杂质J
英文名称:
Cephalexin impurity J
CAS号:
56193-21-6
纯度规格:
95+
产品类别:
杂质世界 头孢氨苄
分子式:
C16H17N3O5S
分子量:
C16H17N3O5S

头孢氨苄杂质J详情说明

 

头孢氨苄杂质J(头孢氨苄亚砜)

CAS No. 56193-21-6

C16H17N3O5S

M.W. 363.39

 

头孢氨苄(Cefalexin),抗生素\β-内酰胺类\头孢菌素类。它能抑制细胞壁的合成,使细胞内容物膨胀至破裂溶解,杀死细菌。

药物的杂质是指药物中存在的无治疗作用或者影响药物的稳定性、疗效,甚至对人体的健康有害的物质。在药物的研究、生产、贮存和临床应用等方面,必须保持药物的纯度,降低药物的杂质,这样才能保证药物的有效性和安全性。通常可以将药物的结构、外观性状、理化常数、杂质检查和含量测定等方面作为一个相互关联的整体来评价药物的纯度。药物中含有的杂质是影响药物纯度的主要因素,如药物中含有超过限量的杂质,就有可能使理化常数变动,外观性状产生变异,并影响药物的稳定性;杂质增多也必然使药物的含量偏低或活性降低,毒副作用显著增加。因此,药物的杂质检查是控制药物纯度,提高药品质量的一个非常重要的环节;

56193-21-6;头孢氨苄杂质J

公司简介

阿托伐他汀EP药典杂质,氨氯地平EP药典杂质,奥氮平EP药典杂质,环丙沙星EP药典杂质,头孢氨苄EP药典杂质,头孢米诺EP药典杂质,头孢托仑酯三个新品种,左氧氟沙星EP药典杂质,莫西沙星EP杂质,专业定制糖Block、UDP糖、GDP糖类品种。

成立日期 (7年)
注册资本 100万
员工人数 1-10人
年营业额 ¥ 100万以内
经营模式 工厂
主营行业 标准品和对照品,原料药

头孢氨苄杂质J相关厂家报价

内容声明
拨打电话 立即询价