基本信息 产品详情 公司简介 推荐产品
网站主页 化工产品目录 生物化工 多肽 醋酸格拉替雷 醋酸格拉替雷
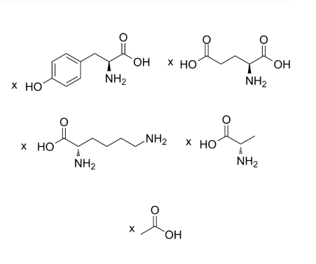
  • 醋酸格拉替雷是髓鞘碱性蛋白的合成类似物和一种免疫调节剂,可用于多发性硬化症的研究

醋酸格拉替雷是髓鞘碱性蛋白的合成类似物和一种免疫调节剂,可用于多发性硬化症的研究

Glatiramer acetate
147245-92-9
询价 100mg 起订
500mg 起订
1000mg 起订
上海 更新日期:2026-04-10

上海杰瑞兴生物医药科技有限公司

VIP3年
联系人:王经理
电话:17721492509拨打
手机:17721492509 拨打
邮箱:460170712@qq.com

产品详情:

中文名称:
醋酸格拉替雷
英文名称:
Glatiramer acetate
CAS号:
147245-92-9
品牌:
杰瑞兴
产地:
上海
保存条件:
4度以下
纯度规格:
98%
产品类别:
小分子抑制剂
货号:
JRX50001
是否进口:
用途:
科研
产品规格:
毫克 克 百克

   Glatiramer acetate 是髓鞘碱性蛋白的合成类似物和一种免疫调节剂,可用于多发性硬化症的研究。Glatiramer acetate 显示出与 MHC 分子强而杂乱的结合,因此与各种髓鞘抗原竞争,使其呈现给T细胞。Glatiramer acetate 作用的另一个方面是有效地诱导T辅助细胞 2 (Th2) 的特异性抑制细胞迁移到大脑并导致原位旁观者抑制。


  体外研究:

   Glatiramer acetate (25-100 mg/kg; S.c; 5 days) increase BDNF levels[3].
In huntington’s disease (HD) mouse model, the N171-82Q transgenic mouse line, which exhibits a more rapidly progressing disease course. Glatiramer acetate (1 mg/mouse; s.c.; 5×week) beginning at 8 weeks of age and continuing until 20 weeks of age, which is near the age of death due to the disease. Glatiramer acetate elicited improves performance on several motor function measures. Glatiramer acetate significantly improves the performance of N171-82Q transgenic mice at 15 weeks of age in the rotarod test measured over the course of 4 days[3].


   


醋酸格拉替雷;格拉替雷;免疫调节剂;多发性硬化症;

公司简介

上海杰瑞兴医药科技有限公司是杰瑞兴医药在上海组建的研发中心和销售部,公司研发团队由留美博士担任顾问,专注于高品质的研究类化学和生化试剂的开发制造,包括:基础化学试剂、原料药、医药中间体、生物活性分子等。公司始终坚持信誉至上,质量第一的企业信条,产品被广泛地应用于生命科学、有机化学、材料科学、分析化学与其他学科的研发及生产领域,销售范围遍及全球。目前,公司已经获得超过1000家药厂和生物技术公司、大学实验室和研究机构等的信赖,并与他们建立了良好的合作关系。

成立日期 (3年)
注册资本 1000000
员工人数 1-10人
年营业额 ¥ 100万以内
经营模式 贸易,工厂,试剂,定制
主营行业 生化试剂,抗体,生物活性小分子

醋酸格拉替雷相关厂家报价 更多

  • 格拉替雷
  • 格拉替雷
  • 绍兴市均宇生物科技有限公司 VIP
  • 2026-03-31
  • ¥68
内容声明
拨打电话 立即询价