基本信息 产品详情 公司简介 推荐产品
网站主页 乳酰-N-岩藻五糖 Ⅰ 乳糖-N-岩藻五糖
  • 乳糖-N-岩藻五糖I CAS7578-25-8惠诚优势提供
  • 乳糖-N-岩藻五糖I CAS7578-25-8惠诚优势提供
  • 乳糖-N-岩藻五糖I CAS7578-25-8惠诚优势提供

1/3

乳糖-N-岩藻五糖I CAS7578-25-8惠诚优势提供

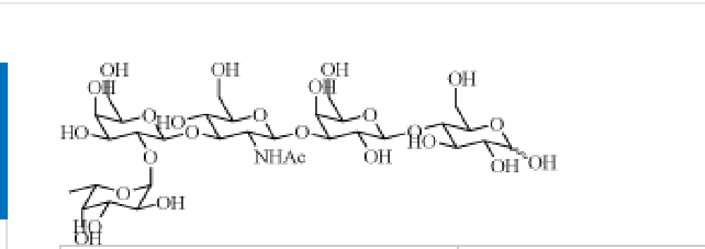
Lacto-N-fucopentaose I (LNFP I)
3510 10MG 起订
7450 25MG 起订
上海 更新日期:2026-04-10

上海惠诚生物科技有限公司

VIP7年
联系人:王思
电话:021-60498804拨打
手机:18930850192 拨打
邮箱:sales@e-biochem.com

产品详情:

中文名称:
乳糖-N-岩藻五糖
英文名称:
Lacto-N-fucopentaose I (LNFP I)
CAS号:
7578-25-8
品牌:
Glycarbo
产地:
进口
保存条件:
2-8°C
纯度规格:
95%
产品类别:
糖化学分析标准品
货号:
GY1147
是否进口:
用途:
母乳低聚糖分析
产品规格:
10mg 25mg
主要作用靶点:
肠道菌群靶点,免疫细胞相关受体


Cat. Number
GY1147
Chemical Name
乳糖-N-岩藻五糖I Lacto-N-fucopentaose I (LNFP I)
CAS Number
7578-25-8
Mol. Formula
C32H55NO25
Mol. Weight
853.77
Qty 1
5mg
Qty 2
10mg
Appearance
LNFP I
Synonym
人乳寡糖;LNFP I
Storage condition
2-8°C
Stability
2 years
References
3'-Fucosyllactose
41312-47-4
C18H32O15
488.44
2’-Fucosyllactose
41263-94-9
C18H32O15
488.44
6'-Sialyllactose
56144-12-8
C23H39NO19
633.55
3'-Sialyllactose
35890-38-1
C23H39NO19
633.55
Lacto-N-tetraose
14116-68-8
C26H45NO21
707.63
Lacto-N-neotetraose
13007-32-4
C26H45NO21
707.63
Lacto-N-fucopentaose I
7578-25-8
C32H55NO25
853.77
Lacto-N-fucopentaose II
21973-23-9
C32H55NO25
853.77
Lacto-N-fucopentaose III
25541-09-7
C32H55NO25
853.77
Lacto-N-fucopentaose V
60254-64-0
C32H55NO25
853.77

Human breast milk provides the primary source of nutrition for newborns before they are able to eat and digest other foods. One distinctive property of human milk from most other species is the amount and diversity of the free oligosaccharide it contains. These human milk oligosaccharides (HMO) can be present at levels of up to 12 g/l in milk and up to 20 g/l in colostrum.1 HMO have been attributed with a variety of functions including:

1) Prebiotic
2) Decoy carbohydrate
3) Immunomodulation

Lacto-N-fucopentaose I (LNFP I) 人乳寡糖 分子式 C32H55NO25 分子量 853.77 CAS:7578-25-8上海惠诚生物为您优势提供5mg 10mg
上海惠诚生物为您优势提供5mg 10mg人乳寡糖系列产品 Human Milk Oligosaccharides 
 

GY1141-10mg2-岩藻糖基乳糖2'-Fucosyllactose41263-94-998%10mg695备货产品
GY1142-10mg3'-岩藻糖基乳糖3'-Fucosyllactose41312-47-495%10mg1538备货产品
GY1143-10mg3'-唾液乳糖钠盐3'-Sialyllactose   sodium salt128596-80-595%10mg468备货产品
GY1144-10mg6'-唾液乳糖钠盐6'-Sialyllactose   sodium salt157574-76-095%10mg468备货产品
GY1145-10mg乳糖-N-四糖Lacto-N-tetraose14116-68-895%10mg3280备货产品
GY1146-10mg乳糖-N-新四糖Lacto-N-neotetraose13007-32-498%10mg3570备货产品
GY1258-10mg乳糖-N-二岩藻四糖Lactodifucotetraose 20768-11-090%10mg4910备货产品

核心应用领域

1.婴幼儿配方食品研发:作为母乳中天然存在的活性成分,是开发 “母乳化” 配方奶粉的重要原料。添加后可帮助婴儿构建健康肠道菌群,降低感染和过敏风险,目前多在高端婴幼儿配方食品和特殊医学用途婴儿食品的研发中作为关键功能组分。

2.生物医学研究工具:是糖生物学研究的核心探针,比如用于筛选肿瘤相关糖链的抗体或小分子抑制剂,研究选择素介导的肿瘤细胞迁移过程;还可作为酶学分析底物,用于岩藻糖转移酶等的活性测定与抑制剂筛选,助力相关药物靶点研究。

3.药物与疫苗开发:可与载体蛋白耦联制备糖缀合物疫苗,用于研发针对 HIV、结核杆菌等病原体的疫苗,诱导机体产生特异性抗体;同时能修饰在脂质体等载体表面,借助其受体亲和力实现药物向免疫细胞的靶向递送,提升药物作用精准性。

4.诊断试剂领域:可作为标准抗原用于糖芯片检测技术优化,也能用于开发检测感染或自身免疫病相关自身抗体的诊断试剂,还可作为母乳质量评估的标准品,辅助判断母乳的营养与免疫功能。



乳糖-N-岩藻五糖I;母乳寡糖LNFP I;7578-25-8;Lacto-N-fucopentaose;LNFP I 人乳寡糖;

公司简介

上海惠诚生物科技有限公司,成立于2010年,企业宗旨“惠质产品,挚诚服务”。惠诚生物自成立以来,一直致力于为客户提供一站式科学服务,产品覆盖设计开发全过程,提供实验室设计、实验室建设、仪器设备、耗材、试剂、技术服务等专项配套服务, 按照客户的研发、生产和质量控制环节整合各种优质资源,优化资源组合,为客户提供最具价值的整体解决方案。惠诚生物在上海建立研发中心,在湖北和江苏有生产基地,在广州和深圳建立子公司,立足上海,销售网络遍布全国,为客户提供全方位的综合服务。 “不忘初心,砥砺前行”。惠诚生物经过多年不懈努力,目前产品线包括:生命科学,分析化学,生化试剂和仪器耗材。客户遍布:生物医药,体外诊断,食品行业,石油化工,科研院校和研究所等领域。 上海惠诚生物科技有限公司,成立于2010年,企业宗旨“惠质产品,挚诚服务”。惠诚生物自成立以来,一直致力于为客户提供一站式科学服务,产品覆盖设计开发全过程,提供实验室设计、实验室建设、仪器设备、耗材、试剂、技术服务等专项配套服务, 按照客户的研发、生产和质量控制环节整合各种优质资源,优化资源组合,为客户提供最具价值的整体解决方案。惠诚生物在上海建立研发中心,在湖北和江苏有生产基地,在广州和深圳建立子公司,立足上海,销售网络遍布全国,为客户提供全方位的综合服务。 “不忘初心,砥砺前行”。惠诚生物经过多年不懈努力,目前产品线包括:生命科学,分析化学,生化试剂和仪器耗材。客户遍布:生物医药,体外诊断,食品行业,石油化工,科研院校和研究所等领域。

成立日期 (16年)
注册资本 50
员工人数 10-50人
年营业额 ¥ 500万-1000万
经营模式 贸易,工厂,试剂,服务
主营行业 化学试剂,通用试剂,中草药提取物

乳糖-N-岩藻五糖相关厂家报价

  • LNFP I
  • LNFP I
  • 武汉糖智药业有限公司 VIP
  • 2026-01-07
  • 询价
内容声明
拨打电话 立即询价