基本信息 产品详情 公司简介 推荐产品
网站主页 化工产品目录 天然产物 氧杂蒽酮 白桦脂醇 白桦脂醇
  • 白桦脂醇

白桦脂醇

Betulin
询价 5mg 起订
10mg 起订
20mg 起订
50mg 起订
100mg 起订
200mg 起订
500mg 起订
1g 起订
四川 更新日期:2026-04-03

四川省维克奇生物科技有限公司

VIP13年
联系人:韩先珍
电话:028-81700200拨打
手机:18116577057 拨打
邮箱:3003855609@qq.com

产品详情:

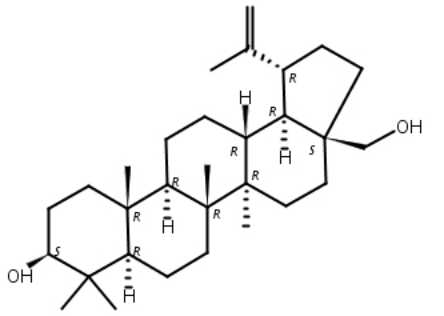
中文名称:
白桦脂醇
英文名称:
Betulin
CAS号:
473-98-3
纯度规格:
HPLC≥98%
产品类别:
中药对照品

wkq-00061

中文名称:白桦脂醇

中文别名:桦木醇,桦木脑,Α-香桦烯醇

英文名称:Betulin

英文别名:

Lup-20(29)-ene-3β,28-diol (8CI); Lup-20(30)-ene-3β,28-diol (6CI); (3β)-Lup-20(29)-ene-3,28-diol; 3aH-Cyclopenta[a]chrysene, lup-

20(29)-ene-3,28-diol deriv.; (+)-Betulin; 3,28-Dihydroxy-lupeol; 3β,28-Dihydroxylup-20(29)-ene; Betulin; Betuline; Betulinic alcohol; Betulinol; Betulol;

NSC 4644; Trochol

分子式:C30H50O2

分子量:442.72

CAS号:473-98-3

纯度: HPLC≥98%

外观:白色结晶粉末

溶解性:溶于乙醇、乙醚、氯仿和苯,微溶于冷水、石油醚等。

Melting Point (Experimental)Value熔点: 250 °C

Boiling Point (Experimental)Value沸点: 157.8 °C | Condition: Press: 12 Torr

Density (Experimental)Value密度: 0.9777 g/cm3 | Condition: Temp: 16 °C

pKa (Predicted)Value值: 15.10±0.10 | Condition: Most Acidic Temp: 25 °C

储存条件: 2-8°C,干燥、避光、密封

规格: 20mg 50mg 100mg 500mg 1g 2g等应客户需求包装.

提取来源:桦木属植物白桦(Betula alba L.)的树皮中。

药理药效:具有消炎、抗病毒、抑制头发纤维中蛋白质溶解、改善受损头发光泽、促进头发生长等活性

用途: 用于含量测定、鉴别、药理实验、活性筛选等.

供应商: 四川省维克奇生物科技有限公司.

四川省维克奇生物和中国科学院成都生物研究所建立的联合实验室,生产中药类标准品和天然植物有效单体,主打中药对照品/标准品/天然植物有效单体,化学合成,抗生素三大板块。公司推出平贝系列、丹参系列、龙胆系列、虫草系列等,敬请关注!

白桦脂醇 CAS:473-98-3

公司简介

四川省维克奇生物科技有限公司成立于2006年,注册资本100万元,是四川省成都市一家专业从事天然药物纯化分离中药对照品\标准品的集生产研发,销售于一体的公司。 多年的积累,公司拥有一批精密的分离和检测设备;拥有有一批技术精湛的研究队伍;拥有一套完整的质量管理体系;拥有以下系列成熟的分离纯化工艺:甘草系列、人参系列、补骨脂系列、雷公藤系列、银杏系列、黄芪皂苷系列、黄芩系列、柴胡系列、酸枣仁系列、重楼系列、五味子系列、大黄系列、丹参系列、柴胡系列、远志系列等。公司不断围绕提高产品质量和开发新产品为中心,在专注于开发国内市场的同时,不断开发国际市场,目前已远销香港,台湾,韩国,日本,加拿大,印度,美

成立日期 (20年)
注册资本 100 万元人民币
员工人数 10-50人
年营业额 ¥ 100万以内
经营模式 试剂
主营行业 医药中间体,高纯试剂,天然化学药,中草药提取物

白桦脂醇相关厂家报价 更多

  • 白桦脂醇
  • 白桦脂醇
  • 河南沃咖斯生物科技有限公司 VIP
  • 2026-04-08
  • 询价
内容声明
拨打电话 立即询价