基本信息 产品详情 公司简介 推荐产品
网站主页 riddelline
  • Riddelline

Riddelline

Riddelline
23246-96-0
询价 5mg 起订
10mg 起订
20mg 起订
50mg 起订
100mg 起订
200mg 起订
500mg 起订
1g 起订
四川 更新日期:2026-04-22

四川省维克奇生物科技有限公司

VIP13年
联系人:韩先珍
电话:028-81700200拨打
手机:18116577057 拨打
邮箱:3003855609@qq.com

产品详情:

英文名称:
Riddelline
CAS号:
23246-96-0
保存条件:
2-8°C,干燥、避光、密封
纯度规格:
HPLC≥98%
产品类别:
中药对照品

wkq-06915

英文名称:Riddelline

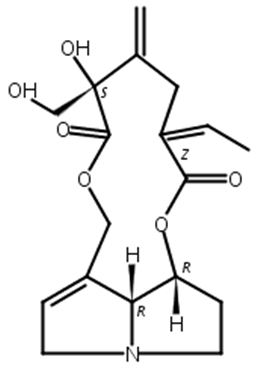
英文别名:Riddelline (6CI); Senecionan-11,16-dione, 13,19-didehydro-12,18-dihydroxy-; (3Z,6S,14aR,14bR)-3-Ethylidene- 3,4,5,6,9,11,13,14,14a,14b-decahydro-6-hydroxy-6-(hydroxymethyl)-5-methylene[1,6]dioxacyclododecino[2,3,4-gh]pyrrolizine-2,7-dione; Riddeline; Riddelliin; Riddelliine; [1,6]Dioxacyclododecino[2,3,4-gh]pyrrolizine-2,7-dione, 3-ethylidene-3,4,5,6,9,11,13,14,14a,14b-decahydro-6-hydroxy-6- (hydroxymethyl)-5-methylene-, [6S-(3Z,6R*,14aS*,14bS*)]-

分 子 式:C18 H23 N O6

分 子 量:349.38

C A S号:23246-96-0

纯 度:HPLC≥98%

熔 点:196 °C

沸 点(预测值):593.2±50.0 °C | Condition: Press: 760 Torr

密度:1.34±0.1 g/cm3 | Condition: Temp: 20 °C Press: 760 Torr

酸度系数pKa :11.62±0.20 | Condition: Most Acidic Temp: 25 °C

储存条件:2-8°C,干燥、避光、密封

规格:20mg 50mg 100mg 500mg 1g 2g等应客户需求包装

供应单位:四川省维克奇生物科技有限公司

供应电话:028-81700200 4008005713

四川省维克奇生物和中国科学院成都生物研究所建立的联合实验室,生产中药类标准品和天然植物有效单体,主打中药对照品/标准品/天然植物有效单体,化学合成,抗生素三大板块。公司推出平贝系列、丹参系列、龙胆系列、虫草系列等,敬请关注!

新批次有现货,欢迎咨询。

Riddelline,23246-96-0

公司简介

四川省维克奇生物科技有限公司成立于2006年,注册资本100万元,是四川省成都市一家专业从事天然药物纯化分离中药对照品\标准品的集生产研发,销售于一体的公司。 多年的积累,公司拥有一批精密的分离和检测设备;拥有有一批技术精湛的研究队伍;拥有一套完整的质量管理体系;拥有以下系列成熟的分离纯化工艺:甘草系列、人参系列、补骨脂系列、雷公藤系列、银杏系列、黄芪皂苷系列、黄芩系列、柴胡系列、酸枣仁系列、重楼系列、五味子系列、大黄系列、丹参系列、柴胡系列、远志系列等。公司不断围绕提高产品质量和开发新产品为中心,在专注于开发国内市场的同时,不断开发国际市场,目前已远销香港,台湾,韩国,日本,加拿大,印度,美

成立日期 (20年)
注册资本 100 万元人民币
员工人数 10-50人
年营业额 ¥ 100万以内
经营模式 试剂
主营行业 医药中间体,高纯试剂,天然化学药,中草药提取物

Riddelline相关厂家报价

内容声明
拨打电话 立即询价