基本信息 产品详情 公司简介 推荐产品
网站主页 化工产品目录 生物化工 提取物 植物提取物 玛卡酰胺杂质10 N-间氧基苄基-9顺
  • N-间氧基苄基-9顺

N-间氧基苄基-9顺

Macamide Impurity 10
询价 5mg 起订
10mg 起订
20mg 起订
50mg 起订
100mg 起订
200mg 起订
500mg 起订
1g 起订
四川 更新日期:2026-04-03

成都彼样生物科技有限公司

VIP7年
联系人:鲜凤玲
电话:18108052721拨打
邮箱:2850505130@qq.com

产品详情:

中文名称:
N-间氧基苄基-9顺
英文名称:
Macamide Impurity 10
CAS号:
883715-22-8
纯度规格:
HPLC≥98%
产品类别:
标准品

wkq-02136

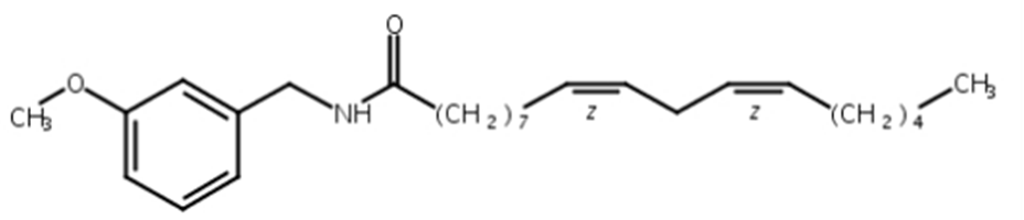
中文名称:N-间氧基苄基-9顺,12顺-亚油酸酰胺

中文别名:间甲氧基-苄基-亚油酰胺

英文名称:Macamide Impurity 10

英文别名:(9Z,12Z)-N-[(3-Methoxyphenyl)methyl]-9,12-octadecadienamide

分子式:C26 H41 N O2

分子量:399.61

CAS号:883715-22-8

纯度: HPLC≥98%

产品外观:淡黄色粘稠状

沸点(预测)值:562.0±45.0°C

密度(预测)值:0.951±0.06克/立方厘米|条件:温度:20°C

pKa(预测)值:15.77±0.46 |条件:酸性最强温度:25°C

储存条件:2-8°C,干燥、避光、密封

规格:20mg 50mg 100mg 500mg 1g 2g等应客户需求包装

用途:用于含量测定、鉴别、药理实验、活性筛选等。

供应商: 四川省维克奇生物科技有限公司 400-800-5713 028-81700200.

四川省维克奇生物和中国科学院成都生物研究所建立的联合实验室,生产中药类标准品和天然植物有效单体,主打中药对照品/标准品/天然植物有效单体,化学合成,抗生素三大板块。公司推出平贝系列、丹参系列、龙胆系列、虫草系列等,敬请关注!

新批次有现货,欢迎咨询。

N-间氧基苄基-9顺,883715-22-8

公司简介

成都彼样生物科技有限公司,是四川省成都市一家专业从事天然产物纯化分离公司。 主打对照品/标准品/天然植物有效单体,化学合成,抗生素三大板块。实验室拥有一批精密的分离纯化系统和检测设备;拥有一批技术精湛的研究队伍;拥有一套完整的质量管理体系; 公司可承接以下业务: 1、指定化合物克级---公斤级定制业务; 2、指定药材全系列的分离纯化业务; 3、新化合物的分离纯化及结构鉴定业务; 4、指定结构式的合成定制业务; 多年的积累,公司拥有上万个现货化合物以及以下系列成熟的分离纯化工艺:甘草系列、人参系列、补骨脂系列、雷公藤系列、银杏系列、黄芪皂苷系列、黄芩系列、柴胡系列、酸枣仁系列、重楼系列、五味子系列、大黄系列、丹参系列、柴胡系列、远志系列、更多系列请查看产品中心。 公司不断提高现有产品质量和开发新化合物,因此赢来了很多知名的高等学府和研究所为我公司长期合作单位,比如:清华大学、中国药科大学、广州中医药大学、江西中医药大学、成都中医药大学,四川大学、暨南大学、辽宁中医药大学、香港浸會大學中醫藥學院、上海交通大学、吉林大学、大连化物所、武汉病毒研究所、中国农业科学院特产研究所、中国医学科学院药用植物研究所、澳门大学中华医药研究院........我们在专注于开发国内市场的同时,不断开发国际市场,目前已远销台湾,韩国,日本,加拿大,印度,美国,英国,澳大利亚等地区和国家。在中药对照品、标准品行业里赢得了广大客户良好的口碑,受到广大客户的信赖和好评。 公司未来的发展方向是为从事天然产物研究行业的学者、企业搭建一个交流与合作的平台。因此,公司在自主研发的同时,敞开公司大门,吸纳有能力开发新化合物的各研究所、各大专院校、企业加入我们公司。共同探讨和研究天然产物化学这门博大精深,永无止境的事业。 公司真诚邀请您的加入,共同携手为人类健康事业做出贡献。

成立日期 (10年)
注册资本 100000
员工人数 10-50人
年营业额 ¥ 100万-300万
经营模式 试剂
主营行业 化学试剂,高纯试剂

N-间氧基苄基-9顺相关厂家报价

内容声明
拨打电话 立即询价