基本信息 产品详情 公司简介 推荐产品
网站主页 化工产品目录 有机原料 醚类化合物及其衍生物 丙基环己基苯乙醚 丙基环己基苯乙醚
  • 丙基环己基苯乙醚

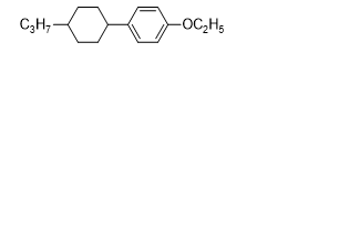
丙基环己基苯乙醚

1-ethoxy-4-(4-propylcyclohexyl)benzene
询价 10公斤 起订
山东 更新日期:2026-03-09

烟台德润液晶材料有限公司

VIP15年
联系人:杨丽
电话:0535-0535-6300169拨打
手机:15253505805 拨打
邮箱:yangli@ytderun.com

产品详情:

中文名称:
丙基环己基苯乙醚
英文名称:
1-ethoxy-4-(4-propylcyclohexyl)benzene
纯度规格:
≥99.9%(GC)
产品类别:
液晶单体

3CPO2

丙基环己基苯乙醚
英文名称:1-ethoxy-4-(4-propylcyclohexyl)benzene

分子式:C17H26O

分子量:246

产品规格: ≥99.9%(GC)
外 观:白色固体

用 途:用于液晶单体、医药合成等
包 装:铝瓶
提 示:储存在密封容器内,放在阴凉通风的地方,避免物理损坏。
♦本公司长年大量生产丙基环己基苯乙醚,工艺成熟,产品质量稳定,出口标准,欢迎来电来函!!

3CPO2

公司简介

Our factory specializing in developing and manufacturing LCD intermediate product

成立日期 (29年)
注册资本 壹仟万元整
员工人数 100-500人
年营业额 ¥ 500万-1000万
经营模式 工厂
主营行业 液晶中间体

丙基环己基苯乙醚相关厂家报价

内容声明
拨打电话 立即询价