Apcin
Apcin
询价
1g
起订
上海 更新日期:2026-02-24
产品详情:
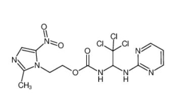
- 英文名称:
- Apcin
- CAS号:
- 300815-04-7
- 纯度规格:
- 98%
- 产品类别:
- 抑制剂
公司简介
上海芮晖化工科技有限公司是一家立足中国、面向世界的药物化学高新技术企业;公司位于上海市浦东外高桥保税区,主要致力于高端活性小分子类产品及关键中间体的开发和销售,公司秉承务实,诚信原则,承接小分子抑制剂、API、杂质对照品及关键中间体的外包定制和产品小试,中试,大生产工艺开发及转让服务。
芮晖主要由留学博士、硕士等一批有着丰富有机合成经验的高端人才组成,大多数人有着在知名CRO公司从业的背景。目前,公司已与欧美制药公司、科研机构、进出口商建立了稳定的业务往来。
芮晖视产品质量为公司的生命,产品的纯度、稳定性是我们所关注的焦点,为了确保能向顾客提供优质的产品,我们对产品进行严格的质量控制,在交付前为
| 成立日期 | (11年) |
| 注册资本 | 1000000 |
| 员工人数 | 10-50人 |
| 年营业额 | ¥ 100万-300万 |
| 经营模式 | 贸易,工厂,定制 |
| 主营行业 | 医药中间体,生物活性小分子,原料药 |
Apcin相关厂家报价
-
- 化合物 Apcin|T8561|TargetMol
- TargetMol中国(陶术生物) VIP
- 2026-04-02
- ¥346
-
- 300815-04-7Apcin
- 上海嘉定区澄浏公路52号
- 2025-11-06
- 询价
-
- aladdin 阿拉丁 A288130 Apcin,Cdc20抑制剂 300815-04-7 ≥98%(HPLC)
- 上海阿拉丁生化科技股份有限公司 VIP
- 2025-05-16
- ¥1204.90