基本信息 产品详情 公司简介 推荐产品
网站主页 化工产品目录 生物化工 提取物 Α-常春藤素 β-常春藤素
  • β-常春藤素

β-常春藤素

β-Hederin
询价 5mg 起订
10mg 起订
20mg 起订
50mg 起订
100mg 起订
200mg 起订
500mg 起订
1g 起订
四川 更新日期:2026-04-14

成都彼样生物科技有限公司

VIP7年
联系人:鲜凤玲
电话:18108052721拨打
邮箱:2850505130@qq.com

产品详情:

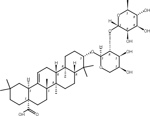
中文名称:
β-常春藤素
英文名称:
β-Hederin
CAS号:
35790-95-5
纯度规格:
HPLC≥98%
产品类别:
对照品
wkq-04367
中文名称:β-常春藤素
英文名称:β-Hederin
英文别名:(3β)-3-[[2-O-(6-Deoxy-α-L-mannopyranosyl)-α-L-arabinopyranosyl]oxy]olean-12-en-28-oic acid; 3β-[(O-α-L-Rhamnopyranosyl-(1→2)-α-L-arabinopyranosyl)oxy]olean-12-en-28-oic acid; Eleatheroside K; Eleutheroside K; Glycoside L-C; Oleanoic acid 3-O-Lrhamnopyranosyl(1→2)-α-L-arabinopyranoside; Oleanolic acid 3-O-α-L-rhamnopyranosyl-(1→2)-α-L-arabinopyranoside; Prosapogenin CP2; TaurosideC; β-Hederin
分 子 式:C41 H66 O11
分 子 量:734.96
C A S号:35790-95-5
纯    度:HPLC≥97%
熔   点:221-223 °C | Condition: Solv: methanol (67-56-1) 
沸 点(预测值): 817.8±65.0 °C | Condition: Press: 760 Torr
密度:1.28±0.1 g/cm3 | Condition: Temp: 20 °C Press: 760 Torr
酸度系数pKa :4+-.0.70 | Condition: Most Acidic Temp: 25 °C
储存条件:2-8°C,干燥、避光、密封
规格:20mg  50mg  100mg  500mg  1g  2g等应客户需求包装
供应单位:四川省维克奇生物科技有限公司
供应电话:028-81700200   4008005713
四川省维克奇生物和中国科学院成都生物研究所建立的联合实验室,生产中药类标准品和天然植物有效单体,主打中药对照品/标准品/天然植物有效单体,化学合成,抗生素三大板块。公司推出平贝系列、丹参系列、龙胆系列、虫草系列等,敬请关注!
       新批次有现货,欢迎咨询。
 
35790-95-5;β-常春藤素;

公司简介

成都彼样生物科技有限公司,是四川省成都市一家专业从事天然产物纯化分离公司。 主打对照品/标准品/天然植物有效单体,化学合成,抗生素三大板块。实验室拥有一批精密的分离纯化系统和检测设备;拥有一批技术精湛的研究队伍;拥有一套完整的质量管理体系; 公司可承接以下业务: 1、指定化合物克级---公斤级定制业务; 2、指定药材全系列的分离纯化业务; 3、新化合物的分离纯化及结构鉴定业务; 4、指定结构式的合成定制业务; 多年的积累,公司拥有上万个现货化合物以及以下系列成熟的分离纯化工艺:甘草系列、人参系列、补骨脂系列、雷公藤系列、银杏系列、黄芪皂苷系列、黄芩系列、柴胡系列、酸枣仁系列、重楼系列、五味子系列、大黄系列、丹参系列、柴胡系列、远志系列、更多系列请查看产品中心。 公司不断提高现有产品质量和开发新化合物,因此赢来了很多知名的高等学府和研究所为我公司长期合作单位,比如:清华大学、中国药科大学、广州中医药大学、江西中医药大学、成都中医药大学,四川大学、暨南大学、辽宁中医药大学、香港浸會大學中醫藥學院、上海交通大学、吉林大学、大连化物所、武汉病毒研究所、中国农业科学院特产研究所、中国医学科学院药用植物研究所、澳门大学中华医药研究院........我们在专注于开发国内市场的同时,不断开发国际市场,目前已远销台湾,韩国,日本,加拿大,印度,美国,英国,澳大利亚等地区和国家。在中药对照品、标准品行业里赢得了广大客户良好的口碑,受到广大客户的信赖和好评。 公司未来的发展方向是为从事天然产物研究行业的学者、企业搭建一个交流与合作的平台。因此,公司在自主研发的同时,敞开公司大门,吸纳有能力开发新化合物的各研究所、各大专院校、企业加入我们公司。共同探讨和研究天然产物化学这门博大精深,永无止境的事业。 公司真诚邀请您的加入,共同携手为人类健康事业做出贡献。

成立日期 (10年)
注册资本 100000
员工人数 10-50人
年营业额 ¥ 100万-300万
经营模式 试剂
主营行业 化学试剂,高纯试剂

β-常春藤素相关厂家报价

内容声明
拨打电话 立即询价