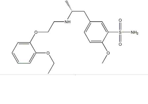
坦索罗辛杂质对照品
Tamsulosin Impurity 2
¥1000
10mg
起订
湖北 更新日期:2026-02-05
产品详情:
- 中文名称:
- 坦索罗辛杂质对照品
- 英文名称:
- Tamsulosin Impurity 2
- CAS号:
- 169506-15-4
- 保存条件:
- 2-8摄氏度
- 纯度规格:
- 95%
- 产品类别:
- 标准品
公司简介
Molcoo专注于标准品业务,一直与世界各地制药企业、检测机构、高校实验室有着良好的合作关系。为更好更快的拓展中国业务,我们与我们中国的重要合作伙伴共同成立深圳摩科生化科技有限公司,所有标准品将由Molcoo提供质量保证及相关证书(COA)、C-NMR、H-NMR、MS、HPLC/GC等结构确证及纯度证明图谱、制备路线、图谱解析。亚洲区客户将由中国仓库发货,欧美等地区将由美国仓库发货。
Molcoo主要产品包括药物杂质对照品,同时我们也提供定制合成服务。
| 成立日期 | (8年) |
| 注册资本 | 1000万 |
| 员工人数 | 10-50人 |
| 年营业额 | ¥ 1000万-5000万 |
| 经营模式 | 贸易,工厂,试剂,定制,服务 |
| 主营行业 | 化学试剂 |
坦索罗辛杂质对照品相关厂家报价
-
- 坦洛新杂质2
- 深圳摩科生化科技有限公司 VIP
- 2026-04-09
- ¥1000
-
- 坦索罗辛杂质O
- 南京宁吉通医药生物科技有限公司 VIP
- 2026-04-05
- 询价
-
- 2-(2-乙氧基苯氧基)乙基甲磺酸负离子
- 杭州杰恒化工有限公司 VIP
- 2026-02-24
- 询价
