基本信息 产品详情 公司简介 推荐产品
网站主页 化工产品目录 生物化工 提取物 黄芪皂苷 III 黄芪皂苷III
  • 黄芪皂苷III
  • 黄芪皂苷III

1/2

黄芪皂苷III

Astragaloside III
询价 10mg 起订
20mg 起订
50mg 起订
100mg 起订
1g 起订
四川 更新日期:2023-11-10

成都曼思特生物科技有限公司

非会员
联系人:王***
电话:180***
邮箱:752***

产品详情:

中文名称:
黄芪皂苷III
英文名称:
Astragaloside III
CAS号:
84687-42-3
保存条件:
4℃冷藏、密封、避光
纯度规格:
HPLC≥98%
产品类别:
中药对照品 黄芪
CAS登录号:
84687-42-3
外观:
无色结晶
分子式:
C41H68O14
分子量:
784.98
用途:
细胞动物实验检测药理药效

中文名称 黄芪皂苷III 中文别名 黄芪皂甙III
英文名 Astragaloside III 英文别名 补充中
分子式
C41H68O14 分子量 784.98 CAS登录号 84687-42-3

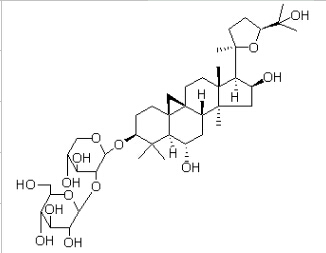
提取来源黄芪的根部提出的有效成分。 化学结构

外观无色针晶(甲醇) [84687-42-3]

鉴别方法NMR; MS

贮存条件4℃冷藏、密封、避光
有效期2年
注意事项
溶解性 补充中
测定方法 HPLC法,以十八烷基硅烷键合硅胶为填料,以乙腈-水(36:64)为流动相,流速0.8mL/min;柱压:4.9MPa;ELSD参数:漂移管温度为90℃,氮气压力0.15MPa。
药典测定方法 补充中
用途 用于含量测定/鉴定/药理实验等

▎相关文献:

  点击查看完整文献

▎相关产品:

编号 中文名称 英文名称 CAS登陆号 纯度 规格
A1110 美迪紫檀苷 9-O-Methylnissolin 3-O-glucoside 94367-42-7 ≥ 98% 10mg/支
A1111 黄芪紫檀烷苷 Astraisoflavan-7-O-β-D-glucoside 136087-29-1 ≥98% 10mg/支
A1081 异黄芪皂苷IV Isoastragaloside IV 136033-55-1 ≥ 98% 10mg/支
A0877 (3β,6α,16β,20R,24S)-3-O-[(3,4-二乙酰基-β-D-木糖)]-20, 24-环氧-16,25-二羟基-9,19-环羊毛甾烷-6-O-葡萄糖苷 β-D-Glucopyranoside,(3β,6α,16β,20R,24S)-3-[(3,4-di-O-acetyl-β-D-xylopyranosyl)oxy]-20, 24-epoxy-16,25-dihydroxy-9,19-cyclolanostan-6-yl 1324005-51-7 ≥97% 5mg/支
A0535 沙苑子苷 Complanatuside 116183-66-5 ≥ 98% 20mg/支
A0550 环黄芪醇 Cycloastragenol 84605-18-5 ≥ 98% 20mg/支
A0515 毛蕊异黄酮苷 Calycosin-7-O-glucoside 20633-67-4 ≥ 98% 20mg/支
A0514 毛蕊异黄酮 Calycosin 20575-57-9 ≥ 98% 20mg/支
A0511 刺芒柄花苷 Ononin; 486-62-4 ≥ 98% 20mg/支
A0232 芒柄花黄素 Formononetin 485-72-3 ≥ 98% 20mg/支
A0878 环黄芪苷II Cyclocephaloside II 215776-78-6 ≥ 98% 5mg/支
A0876 异黄芪皂苷II Isoastragaloside II 86764-11-6 ≥98% 10mg/支
A0875 异黄芪皂苷I Isoastragaloside I 84676-88-0 ≥98% 10mg/支
A0073 黄芪皂苷III Astragaloside III 84687-42-3 ≥ 91% 20mg/支
A0072 黄芪皂苷II Astragaloside II 84676-89-1 ≥ 98% 20mg/支
A0071 黄芪皂苷I Astragaloside I 84680-75-1 ≥ 98% 20mg/支
A0070 黄芪甲苷 Astragaloside IV 84687-43-4 ≥ 98% 20mg/支
A0069 黄芪总皂苷 Astragaloside 无 ≥ 98% 20 mg/支

成都曼思特生物科技有限公司是一家专业从事中药对照品、高纯度植物单体研发以及中药对照品、高纯度植物单体的企业。公司自2006年开始进行中药对照品相关业务,我们与中科院成都生物研究所合作建立了中药标准样品研制联合实验室。目前实验室拥有超导核磁共振仪、高分辨质谱仪、液相色谱质谱联用仪、制备高效液相色谱仪、分析用Agilent液相色谱仪等高尖端检测与纯化设备。拥有在中药化学成分分离纯化方面一大批技术过硬的技术人员。公司通过多年的努力,与各大科研院校、制药企业、药检部门以及国内外各试剂商建立了良好的合作关系。通过对自身产品及服务质量的不断改善与提升,一直被国内外知名院校及科研部门作为中药对照样品的供货商。

对照品大量现货曼思特直销

黄芪皂苷III单体;黄芪提取物新品;现货供应;Astragaloside III;中药对照品曼思特;

公司简介

成都曼思特生物科技有限公司是一家专业从事中药对照品、高纯度植物单体研发以及中药对照品、高纯度植物单体的企业。公司自2006年开始进行中药对照品相关业务,我们与中科院成都生物研究所合作建立了中药标准样品研制联合实验室。目前实验室拥有超导核磁共振仪、高分辨质谱仪、液相色谱质谱联用仪、制备高效液相色谱仪、分析用Agilent液相色谱仪等高尖端检测与纯化设备。拥有在中药化学成分分离纯化方面一大批技术过硬的技术人员。公司通过多年的努力,与各大科研院校、制药企业、药检部门以及国内外各试剂商建立了良好的合作关系。通过对自身产品及服务质量的不断改善与提升,一直被国内外知名院校及科研部门作为中药对照样品的供货商。

成立日期 (19年)
注册资本 50万人民币
员工人数 10-50人
年营业额 ¥ 100万以内
经营模式 贸易,工厂,定制,服务
主营行业 黄酮类,生物碱,萜,皂苷,中草药提取物

黄芪皂苷III相关厂家报价 更多

内容声明
拨打电话 立即询价