基本信息 产品详情 公司简介 推荐产品
网站主页 化工产品目录 分析化学 标准品 药典标准品和杂质标准品 达托霉素杂质2 脱水达托霉素
  • 脱水达托霉素

脱水达托霉素

Daptomycin Anhydrous
2000 20mg 起订
北京 更新日期:2026-03-17

北京艾普瑞特科技有限公司

VIP3年
联系人:张平
手机:13311015623 拨打
邮箱:zhangping@i-puritech.com

产品详情:

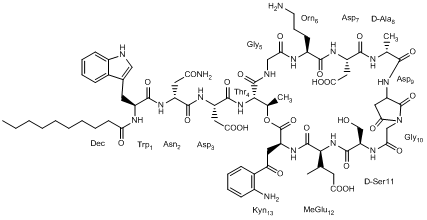
中文名称:
脱水达托霉素
英文名称:
Daptomycin Anhydrous
CAS号:
121869-35-0
保存条件:
-20℃存储
纯度规格:
≥95%
产品类别:
达托霉素杂质

产品名称:

达托霉素杂质-达托霉素酐

其他别名:

 

 

N-decanoyl-L-tryptophyl-D-aspartyl-L-aspartyl-L-threonyl-glycyl-L-ornithyl-L-aspartyl-D-alanyl-2-aminosuccinimideacetyl-D-seryl-threo-3-methyl-L-glutamyl-3-anthraniloyl-L-alanineε1-lactone

货    号:

IPX0001

CAS  No.:

121869-35-0

分 子 式:

C72H99N17O25

分 子 量:

1602.67

产品规格

10mg,25mg,50mg,100mg,200mg

达托霉素杂质;脱水达托霉素;达托霉素酐;

公司简介

北京艾普瑞特科技有限公司位于北京经济技术开发区,是一家专门致力于产品纯化方面研究的科研型企业。公司的主营业务方向是医药中间体、保健品、化学品、天然提取物等产品的定制纯化、工艺开发、生产线设计、高纯度产品定单生产供应。公司核心技术人员具有多年的产品纯化研发、生产经验,能够从专业的技术角度为客户的产品进行一站式的专属工艺开发、产品提供等服务。 专业,专业于纯化! 专注,专注于纯度! 专心,专心于技术! 专属,专属于客户! 专诚,专诚于服务!

成立日期 (8年)
注册资本 150万
员工人数 1-10人
年营业额 ¥ 100万-300万
经营模式 定制,服务
主营行业 其他中间体,原料药

脱水达托霉素相关厂家报价

内容声明
拨打电话 立即询价