基本信息 产品详情 公司简介 推荐产品
网站主页 化工产品目录 有机原料 羧酸类化合物及衍生物 糠酸莫米松杂质ABCDEFGHJKL 糠酸莫米松杂质ABCDEFGHJKL
  • 糠酸莫米松杂质ABCDEFGHJKL

糠酸莫米松杂质ABCDEFGHJKL

Mometasone Furoate ImpurityABCDEFGHJKL
询价 10mg 起订
15mg 起订
25mg 起订
湖北 更新日期:2026-02-05

湖北摩科化学有限公司

VIP8年
联系人:刘瑶
电话:18627753421;拨打
手机:18627756402 拨打
邮箱:3001051413@qq.com

产品详情:

中文名称:
糠酸莫米松杂质ABCDEFGHJKL
英文名称:
Mometasone Furoate ImpurityABCDEFGHJKL
纯度规格:
95%HPLC以上
产品类别:
对照品 杂质对照品
糠酸莫米松杂质:
糠酸莫米松杂质ABCDEFGHJKL

 

湖北摩科化学有限公司     联系人:卢经理    电话:186★2792★3403    QQ : 300★1039★764    微信:186★2792★3403  

 

Molcoo Chemicals Inc.(以下简称Molcoo)成立于美国。多年来,Molcoo专注于标准品业务,一直与世界各地制药企业、检测机构、高校实验室有着良好的合作关系。为更好更快的拓展中国业务,我与我们中国的重要合作伙伴共同成立深圳摩科生化科技有限公司,所有标准品将由Molcoo提供质量保证

及相关证书(COA)、C-NMR、H-NMR、MS、HPLC/GC等结构确证及纯度证明图谱、制备路线、图谱解析。




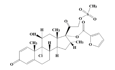
Mometasone Furoate EP Impurity E

CAS No. 1370190-33-2

C32H32Cl2O8

M.W. 615.51




Mometasone Furoate EP Impurity I

C29H34Cl2O8

M.W. 581.50




Mometasone Furoate EP Impurity F

CAS No. 1305334-30-8

C27H28Cl2O7

M.W. 535.41



Mometasone Furoate EP Impurity Q


CAS No. 83881-08-7

C22H27ClO4

M.W. 390.90




Mometasone Furoate EP Impurity G


CAS No. 105102-22-5

C22H28Cl2O4

M.W. 427.36


Mometasone Furoate EP Impurity O

CAS No. 24916-91-4

C24H31ClO6

M.W. 450.96


Mometasone Furoate EP Impurity M

CAS No. 57780-86-6

C22H29ClO4

M.W. 392.92


Mometasone Furoate EP Impurity R

CAS No. 1370190-08-1

C28H33ClO9S

M.W. 581.07


Mometasone Furoate EP Impurity S

CAS No. 2231764-75-1

C27H30Cl2O6

M.W. 521.43


Mometasone Furoate EP Impurity P

C27H31ClO7

M.W. 502.99


Mometasone Furoate EP Impurity N

CAS No. 352315-75-4

C23H31ClO7S

M.W. 487.00


Mometasone Furoate EP Impurity K 

CAS No. 4647-20-5

C22H29ClO5

M.W. 408.92


Mometasone Furoate EP Impurity C

CAS No. 1305334-31-9

C27H29ClO6

M.W. 484.97


Mometasone Furoate EP Impurity B

CAS No. 223776-49-6

C28H31ClO8S

M.W. 563.06


Mometasone Furoate EP Impurity A

CAS No. 83880-65-3

C27H29ClO5

M.W. 468.97


Mometasone Furoate EP Impurity H

CAS No. 148596-90-1

C27H31ClO7

M.W. 502.99


Mometasone Furoate EP Impurity D

CAS No. 83881-09-8

C27H29ClO6

M.W. 484.97




糠酸莫米松杂质ABCDEFGHJKL;Mometasone Furoate;发补杂质;图谱齐全;现货;

公司简介

Molcoo专注于标准品业务,一直与世界各地制药企业、检测机构、高校实验室有着良好的合作关系。为更好更快的拓展中国业务,我们与我们中国的重要合作伙伴共同成立深圳摩科生化科技有限公司,所有标准品将由Molcoo提供质量保证及相关证书(COA)、C-NMR、H-NMR、MS、HPLC/GC等结构确证及纯度证明图谱、制备路线、图谱解析。亚洲区客户将由中国仓库发货,欧美等地区将由美国仓库发货。 Molcoo主要产品包括药物杂质对照品,同时我们也提供定制合成服务。

成立日期 (8年)
注册资本 1000万
员工人数 10-50人
年营业额 ¥ 1000万-5000万
经营模式 贸易,工厂,试剂,定制,服务
主营行业 化学试剂

糠酸莫米松杂质ABCDEFGHJKL相关厂家报价

内容声明
拨打电话 立即询价