基本信息 产品详情 公司简介 推荐产品
网站主页 化工产品目录 分析化学 标准品 药典标准品和杂质标准品 帕博西尼-D8 帕博西尼杂质115
  • 帕博西尼杂质115

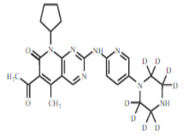
帕博西尼杂质115

6-acetyl-8-cyclopentyl-5-methyl-2-((5-(piperazin-1-yl-2,2,3,3,5,5,6,6-d8)pyridin-2-yl)amino)pyrido[2,3-d]pyrimidin-7(8H)-one
询价 10mg 起订
25mg 起订
50mg 起订
100mg 起订
湖北 更新日期:2026-04-10

湖北扬信医药科技有限公司

VIP6年
联系人:谢经理
手机:15347293736 拨打
邮箱:2853117764@yongstandards.com

产品详情:

中文名称:
帕博西尼杂质115
英文名称:
6-acetyl-8-cyclopentyl-5-methyl-2-((5-(piperazin-1-yl-2,2,3,3,5,5,6,6-d8)pyridin-2-yl)amino)pyrido[2,3-d]pyrimidin-7(8H)-one
CAS号:
1628752-83-9
保存条件:
详见COA
纯度规格:
98%HPLC
产品类别:
杂质对照品

Palbociclib(帕博西尼)是全球首个批准上市的CDK4/6激酶抑制剂,是一种实验性、口服、靶向性CDK4/6抑制剂,能够选择性抑制细胞周期蛋白依赖性激酶4和6(CDK4/6),恢复细胞周期控制,阻断肿瘤细胞增殖。

帕博西尼;帕博西尼杂质;

公司简介

扬信医药是一家立足华中、辐射全球的化学实验室一站式解决方案服务平台,下设四家子公司,专注为药物研发、质量控制及科研创新领域,提供药物标准品、杂质对照品、参比制剂及定制合成等一系列服务,是中国食品药品检定研究院在库标准物质供应商。我们以“全球资源整合下的确定性的交付能力” 为核心,依托全球资源整合实力与全流程服务体系,让每一位科学家都能专注科研突破,无需为供应链、质量或数据问题分心。 全球资源,一站直达:携手全球300+权威生产商,覆盖 CP、EP、USP、STD、BP、JP、TRC、LGC等20多个国际主流品牌,提供药物标准品、杂质对照品、参比制剂及定制合成服务,全面覆盖天然产物、生物制品、化学药物等全领域,真正实现“一站式”全球资源整合。产品已远销美、德、日、韩、俄、巴西、印度等40多个国家和地区,国内服务超5000家机构,涵盖制药百强企业、科研院所、CRO等核心客户群体。 权威认证,质量可溯:核心代理的STD品牌,是全球化学标准物质细分领域唯一通过 ISO 9001、ISO/IEC 17025、ISO/IEC 17034 三项国际认证的品牌。所有产品严格遵循各国药典标准,配套COA、氢谱、质谱、液相图谱等完整图谱资料,质量溯源清晰可查,全力支持FDA/EMA/NMPA等严格申报流程,从根源杜绝实验返工与申报驳回风险。 现货速发,履约无忧:丰富的现货库存,关键物资快速送达。定制服务严谨评估,保障交付成功率,坚决杜绝虚假承诺。搭配高效物流体系,确保各类物资及时履约,让客户无需漫长等待。 全维服务,省心高效:提供7×24小时全流程服务,从选品咨询、质量分析到技术支持,专业团队响应及时,彻底告别 “售后无人管” 的困扰。整合合作品牌官网权威数据库,资料即查即用,无缝适配审计与申报需求。实现更具竞争力的采购成本与更省心的服务体验,让客户专注于核心科研。 荣誉加持,实力见证:公司先后斩获 “瞪羚企业”“专精特新小巨人”“单项冠军”“隐形冠军”“服务型制造示范企业”“守合同重信用企业”等多项殊荣,入选湖北省上市后备 “银种子” 企业名单,并于2016年在武汉股权交易中心成功挂牌(代码:S00903)。

成立日期 (11年)
注册资本 1000万(元)
员工人数 50-100人
年营业额 ¥ 5000万-1亿
经营模式 贸易,贸易,服务
主营行业 标准品和对照品,高纯试剂

帕博西尼杂质115相关厂家报价

内容声明
拨打电话 立即询价