基本信息 产品详情 公司简介 推荐产品
网站主页 HYINC-FAPI-04 HYINC-FAPI-04
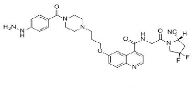
  • HYINC-FAPI-04

HYINC-FAPI-04

HYINC-FAPI-04
询价 2mg 起订
江西 更新日期:2026-03-25

南昌探真生物技术有限公司

VIP6年
联系人:张经理
电话:13758194781拨打
手机:13173652190 拨打
邮箱:522013271@qq.com

产品详情:

中文名称:
HYINC-FAPI-04
英文名称:
HYINC-FAPI-04
保存条件:
-20
纯度规格:
98%
产品类别:
放射显影多肽产品

南昌探真生物技术有限公司是一家集研发、生产、销售于一体专业的高端化学品的公司,成立于2019年,总部位于中国南昌小蓝经济技术开发区,拥有1000㎡的现代化办公/研发实验基地。探真生物团队具有国内外一流化学行业背景和丰富的研发、管理经验,致力于向国内外相关企业和科研机构提供高品质的化学产品,既能满足研发类客户对特殊产品的定制要求,也能满足生产型企业从小试、中试到规模化生产各个阶段的综合需求。南昌探真生物在长期为客户定制合成各类化合物的过程中,积累了丰富的经验,我们坚持持续的技术创新,不断地研发推出各种新产品,以满足中国以及世界科研发展的需求。


HYINC-FAPI-04;FAPI;

公司简介

南昌探真生物技术有限公司 主要业务:多肽服务 ,肽核酸合成

成立日期 (8年)
注册资本 300万人民币
员工人数 10-50人
年营业额 ¥ 100万-300万
经营模式 贸易,工厂,试剂,定制,服务
主营行业 生物活性小分子,有机合成试剂,氨基糖苷类

HYINC-FAPI-04相关厂家报价

  • FAPI-4
  • FAPI-4
  • 陕西缔都医药有限责任公司 VIP
  • 2026-04-09
  • 询价
内容声明
拨打电话 立即询价