基本信息 产品详情 公司简介 推荐产品
网站主页 化工产品目录 分析化学 标准品 药典标准品和杂质标准品 拉氧头孢杂质A 拉氧头孢杂质A
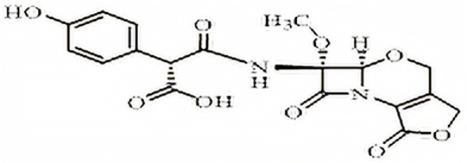
  • 拉氧头孢杂质A

拉氧头孢杂质A

询价 50mg 起订
山东 更新日期:2026-02-23

山东沃德森生物科技有限公司

VIP6年
联系人:刘经理
电话:0531-88723173拨打
手机:18596073690 拨打
邮箱:1047208234@qq.com

产品详情:

中文名称:
拉氧头孢杂质A
纯度规格:
95%以上
产品类别:
沃德森定制目录1

本品为新型半合成B-内酰胺类的广谱抗生素。作用机制是与细胞内膜上的靶位蛋白结合,使细胞不能维持正常形态和正常分裂繁殖,最后溶菌死亡,由于本品对B-内酰胺酶极为稳定,对革兰氏阴性菌和厌氧菌具有强大的抗菌力,对革兰氏阳性菌作用略弱,对绿脓杆菌亦有一定的抗菌作用。

拉氧头孢杂质A;拉氧头孢杂质;拉氧头孢;杂质 ;对照品;

公司简介

山东沃德森生物科技有限公司,是一家集研发、合成、销售为一体的集团性企业,公司目前员工100余名,实验室面积2000平,目前在售杂质种类800余种,存有大量现货,也可以接受定制。

成立日期 (7年)
注册资本 1500.000000万
员工人数 10-50人
年营业额 ¥ 100万以内
经营模式 试剂,定制,服务
主营行业 中间体,天然产物,化学试剂,医药原料

拉氧头孢杂质A相关厂家报价

内容声明
拨打电话 立即询价