基本信息 产品详情 公司简介 推荐产品
网站主页 化工产品目录 天然产物 萜类 表木栓醇 木栓醇
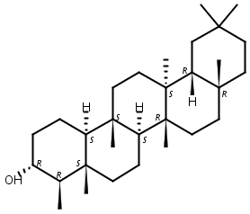
  • 木栓醇

木栓醇

Friedelanol
询价 5mg 起订
10mg 起订
20mg 起订
50mg 起订
100mg 起订
200mg 起订
500mg 起订
1g 起订
四川 更新日期:2026-04-24

成都超九八生物科技有限公司

VIP6年
联系人:王若月
电话:13348960310拨打
手机:13348960310 拨打
邮箱:3003867561@qq.com

产品详情:

中文名称:
木栓醇
英文名称:
Friedelanol
CAS号:
5085-72-3
保存条件:
2-8°C,干燥、避光、密封
纯度规格:
HPLC≥98%
产品类别:
对照品

wkq-10949

中文名称:木栓醇

英文名称:Friedelanol

英文别名:D:A-Friedooleanan-3-ol,(3α)-;D:A-Friedooleanan-3α-ol(7CI,8CI);Friedelinol(6CI);(3α,4β,5β,8α,9β,10α,13α,14β)-5,9,13-Trimethyl-24,25,26-trinoroleanan-3-ol;3-Picenol,docosahydro-4,4a,6b,8a,11,11,12b,14a-octamethyl-,(3R,4R,4aS,6aS,6bR,8aR,12aR,12bS,14aS,14bS)-;3-Picenol,docosahydro-4,4a,6b,8a,11,11,12b,14a-octamethyl-,[3R-(3α,4β,4aβ,6aα,6bβ,8aβ,12aβ,12bα,14aβ,14bα)]-;Friedelan-3α-ol;Friedelanol;Friedelin-3α-ol;NSC 407041

分子式:C30H52O

分子量:428.73

CAS号:5085-72-3

纯度:HPLC≥98%

熔点:301-304 °C

沸点:478.3±13.0 °C | Condition: Press: 760 Torr

密度:0.966±0.06 g/cm3 | Condition: Temp: 20 °C Press: 760 Torr

酸度系数pKa:15.18±0.70 | Condition: Most Acidic Temp: 25 °C

储存条件:2-8°C,干燥、避光、密封

规格:20mg50mg100mg500mg1g2g等应客户需求包装

供应单位:四川省维克奇生物科技有限公司

供应电话:028-81700200/4008005713

四川省维克奇生物有限公司生产中药类标准品和天然植物有效单体,主打中药对照品/标准品/天然植物有效单体,化学合成,抗生素三大板块。公司推出平贝系列、丹参系列、龙胆系列、虫草系列等,敬请关注!

新批次有现货,欢迎咨询。


5085-72-3;木栓醇;

公司简介

成都超九八生物科技有限公司是四川省成都市一家专业从事天然药物纯化分离,集生产研发/销售于一体的公司。公司名下有四家公司“成都标样生物科技有限公司,成都超九八生物科技有限公司,四川省维克奇生物科技有限公司”。   2014年我公司与中国科学院成都生物研究所共建联合实验室,主打中药对照品/标准品/天然植物有效单体,化学合成,抗生素三大板块。实验室拥有一批精密的分离纯化系统和检测设备;拥有一批技术精湛的研究队伍;拥有一套完整的质量管理体系;   公司可承接以下业务:   1、指定化合物克级---公斤级定制业务;   2、指定药材全系列的分离纯化业务;   3、新化合物的分离纯化及结构鉴定业务;

成立日期 (13年)
注册资本 50.000000万人民币
员工人数 10-50人
年营业额 ¥ 100万-300万
经营模式 试剂
主营行业 医药中间体,高纯试剂,天然化学药,中草药提取物

木栓醇相关厂家报价

内容声明
拨打电话 立即询价