2-Methylpyridine: Properties, Production process and Uses
2-Methylpyridine, also known as 2-picoline, α-methylpyridine and α-picoline, is a derivative of acetylene and ammonia. CAS Registry Number: 109-06-8. Molecular formula: C6H7N, molecular weight: 93.1265. The chemical structure is:

Properties of 2-methylpyridine
2-Methylpyridine is a colorless and oily liquid with an odor of pyridine. Its melting point is −67°C and boiling point is 129°C. It is soluble in water and miscible with alcohol and ether. 2-Methylpyridine forms an azeotrope with water at 92.8°C and the mass fraction of 52%. The physical properties of 2-methylpyridine are listed in Table 7.3.

Similar to pyridine, 2-methylpyridine can react with inorganic or organic acids to form salts. The methyl group in 2-methylpyridine is reactive and forms pyridine-2-carboxylic acid upon oxidation. Hydrogenation of 2-methylpyridine leads to 2-methylpiperidine. 2-Methylpyridine reacts with paraformaldehyde at 200°C resulting in the formation of 2-(β-hydroxyethyl) pyridine.
Process for manufacture of 2-methylpyridine
At present, there are mainly four processes for production of 2-methylpyridine: acetylene– ammonia route, acetylene–acetonitrile route, acetaldehyde–ammonia route, and separation from coal tar.
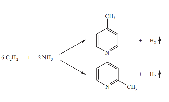
1. Manufacture of 2-methylpyridine from acetylene and ammonia (acetylene–ammonia route)
In the presence of a catalyst, acetylene reacts with ammonia at a temperature of
400–500°C to produce 2-methylpyridine and 4-methylpyridine:

2. Manufacture of 2-methylpyridine from acetylene and acetonitrile
(acetylene–acetonitrile route)
Using bis(cyclopentadienyl)cobalt as a catalyst, acetylene and acetonitrile are cyclized in toluene at 180°C and 1.1–1.2 MPa to form 2-methylpyridine. This is currently the most advanced process for production of 2-methylpyridine, with high yield, less by-products and no wastewater. The catalyst bis(cyclopentadienyl)cobalt is obtained by reaction of cyclopentadiene, sodium amide and cobalt chloride. Since water can deactivate the catalyst, the introduction of water must be strictly limited during the preparation of the catalyst, while the moisture contents in the raw materials (acetylene and acetonitrile) should be strictly controlled before the reaction.
3. Manufacture of 2-methylpyridine from acetaldehyde and ammonia (acetaldehyde–ammonia route)
Acetaldehyde and ammonia are preheated and then introduced into the catalytic reactor. The reaction is carried out at a temperature of 350–550°C under atmospheric pressure. Al2O3 is used as a catalyst, and some other metal oxides are used as cocatalysts. The outlet gas mixture is condensed, dehydrated and subjected to fractional distillation, leading to 2-methylpyridine and 4-methylpyridine with a total content between 99.2% and 99.5%. The yield is in the range from 40% to 60%, in which each of the two isomers accounts for about one half.
4. Separation from coal tar
The crude 2-methylpyridine obtained by separation from coal tar is subjected to deslagging to obtain a mixture 2-methylpyridine and water, and then the mixture is subjected to distillation in a packed column under atmospheric pressure. Benzene is added for azeotropic distillation to remove the water in it, followed by fractional distillation to obtain 2-methylpyridine.
Uses of 2-methylpyridine
2-Methylpyridine can be used to synthesize an important polymer monomer, 2-vinylpyridine, which is widely used in the rubber industry by homopolymerization or copolymerization with other materials to form a latex.
2-Methylpyridine is also a raw material for synthesis of a novel herbicide 4-amino-3,5,6-trichloropyridine, and it is also a raw material for manufacture of a nitrogen fertilizer synergist 2-chloro-6-(trichloromethyl)pyridine. The nitrogen fertilizer synergist can inhibit nitrifying bacteria in soil, reduce the transformation and loss of ammonium ions, thereby improving the utilization of fertilizers and increasing the yield of crops.
In addition, 2-methylpyridine is used in the pharmaceutical industry as an intermediate for the manufacture of long-acting sulfonamides and the organophosphorus antidote pralidoxime chloride.
You may like
Related articles And Qustion
See also
Lastest Price from 2-Picoline manufacturers

US $10.00/KG2025-04-21
- CAS:
- 109-06-8
- Min. Order:
- 1KG
- Purity:
- 99%
- Supply Ability:
- 5tons

US $0.00/KG2025-04-15
- CAS:
- 109-06-8
- Min. Order:
- 1KG
- Purity:
- 99%
- Supply Ability:
- 500000kg



