2-Pyrazoline - Synthesis, Properties, Reactivity, Oxidation etc.
Physical Properties
The parent pyrazoline is an oil with a faint amine-like odor soluble in organic solvents; it has a bp of 144°C volatile with steam, a density of 1.02 g/cm3 , and is miscible with water and alcohol.
4,5-Dihydropyrazole, also referred as ∆2 -pyrazoline, is a five-membered heterocycle with two adjacent nitrogen atoms, three carbon atoms, and an endocyclic double bond. There are three possible tautomeric forms of pyrazoline, depending on the location of the double bond, called ∆1 -, ∆2-, and ∆3 -pyrazoline.

Natural and synthetic compounds constituted with the pyrazoline ring are of great importance due to their potent diverse biological activities such as anticancer, antioxidant, antibacterial, antifungal, antidepressant, antiinflammatory, anticonvulsant, and analgesic properties. Some of the pyrazoline derivatives with potent pharmacological activities are mentioned in the following scheme as future drug candidates.

Synthesis
(a) α,β-Unsaturated ketones are found to be versatile precursors for the synthesis of a wide array of parent and substituted ∆2 -pyrazolines. An acid-catalyzed condensation–cyclization of an α,β-unsaturated ketone with hydrazine or substituted hydrazines and thiosemicarbazide separately yielded 4,5-dihydropyrazoles. The same product has also been obtained using Amberlyst-15 as catalyst.

(b) ∆2 -Pyrazolines have also been prepared by condensation–cyclization of chalcones with hydrazine under phase transfer conditions using tetrabutylammonium iodide as a catalyst.

α,β-Unsaturated ketones undergo cyclocondensation on reaction with hydrazine and substituted hydrazine separately to form 1,3-disubstituted-∆2 -pyrazolines.

One-pot synthesis of ∆2 -pyrazolines has been delineated by microwave irradiation of hydrazine and dihaloalkanes through cyclocondensation in aqueous alkaline medium.

Regioselective synthesis of ∆2 -pyrazolines has been reported from the reaction of butynol with arylhydrazines in the presence of a catalytic amount of zinc triflate.

1-Acyl-5-hydroxy-4,5-dihydropyrazoles have been prepared from the reaction of 1-aryl-2-alkyn-1-ones and acylhydrazine in toluene at 80°C for 6 h in good yields.

An efficient synthesis by domino reaction of 2-acylaziridines with the Huisgen zwitter ions has been reported to furnish 2-pyrazolines.

Dimethyl fumarate on reaction with diazomethane gave 2-pyrazoline through 1,3-dipolar cycloaddition reaction in good yields.

Parent 2-pyrazoline has been prepared by Na/ethanol reduction of pyrazole.
Coupling Reaction
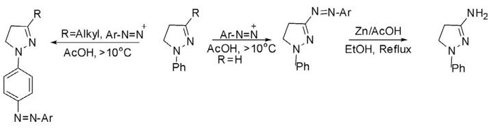
1-Phenyl-2-pyrazoline undergoes a coupling reaction on treatment with diazonium halide and forms 3-aryldiazo- 1-phenyl-2-pyrazoline, which on reduction with Zn/AcOH delivered 3-amino-1-phenyl-2-pyrazoline. However, when position 3 is occupied, coupling takes place at the para position of the phenyl ring.

Formyl Reaction
1-Phenyl-2-pyrazoline on formylation with DMF–POCl3 produced 3-formyl-1-phenyl-2-pyrazoline but when position 3 is occupied, formylation occurs at the para position of the phenyl ring.

Ring Cleavage Reaction
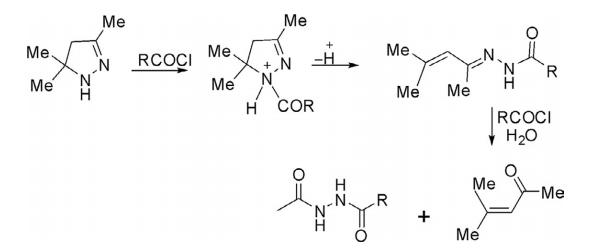
2-Pyrozoline on reaction with acid chloride initially forms a salt, which under applied reaction conditions undergoes ring cleavage to form N′-(4-methylpent-3-en-ylidene)acetohydrazide, which on treatment with acid chloride followed by hydrolysis yielded α,β-unsaturated ketone and diacylhydrazine.

Oxidation
1,3,5-Trisubstituted-2-pyrazoline has been effectively oxidized to respective pyrazole by a DABCO-Br2 complex in acetic acid at room temperature with good to excellent yields.521a It has also been oxidized by Pd/C in acetic acid to respective pyrazoles.



