2-Vinylpyridine: Properties, Production process and Uses
2-Vinylpyridine, also known as 2-ethenylpyridine, α-vinylpyridine, is a derivative of acetylene and acrylonitrile. CAS Registry Number: 100-69-6. Molecular formula: C7H7N, molecular weight: 105.1372. The chemical structure is:

Properties of 2-vinylpyridine
2-Vinylpyridine is a colorless liquid with a boiling point of 159–160°C and a flash point of 46°C. The vapor pressures are 0.5 kPa at 52.5°C and 3.9 kPa at 80.5°C. The density is 0.9885 g cm–3 at 20°C. The refractive index is 1.5495 at 20°C. It is slightly soluble in water, but easily soluble in ethanol, ether, chloroform, benzene, and acetone. It is lachrymatory and toxic. Polymerization of 2-vinylpyridine is liable to occur under light or heat, therefore, 4-tert-butyl catechol of 0.1% is usually added to 2-vinylpyridine during storage to prevent it from polymerization.
Processes for manufacture of 2-vinylpyridine
There are two main production routes for 2-vinylpyridine, one is based on
2-methylpyridine and formaldehyde, and the other is based on acetylene and
acrylonitrile.
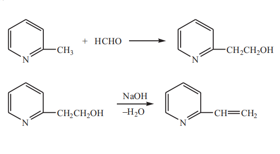
1. Production of 2-vinylpyridine from 2-methylpyridine and formaldehyde
2-Methylpyridine and formaldehyde undergo an addition reaction to form 2-hydroxyethylpyridine, which is then dehydrated to form 2-vinylpyridine. The reaction equations
are as follows:

2-Methylpyridine and formaldehyde were mixed in the molar ratio of 1:0.4 and introduced into a tubular reactor by a metering pump. The flow rate was controlled so that the residence time of the reaction solution was 8 min. The reaction was carried out at a temperature of 250°C under a pressure of 9.08 MPa. 2-Hydroxyethylpyridine was obtained in a single pass yield of 30%. Unreacted 2-methylpyridine was recovered from the reaction solution by washing with 50% sodium hydroxide solution and subsequently undergoing fractional distillation. The recovered 2-methylpyridine was recycled. A sodium hydroxide solution with mass concentration of 50% was added to the remaining liquid after the unreacted 2-methylpyridine had been separated off, and the resultant solution was being heated and refluxed for dehydration. The dehydrated reaction solution was distilled under reduced pressure. Fraction of above 70°C (8.0 kPa) was collected to obtain crude 2-vinyl pyridine, and then it was purified by fractional distillation to give a finished product 2-vinylpyridine with the content of more than 98%.
2. Production of 2-vinylpyridine from acetylene and acrylonitrile
Acetylene reacts with acrylonitrile in the presence a soluble organic cobalt salt catalyst to produce 2-vinylpyridine:

The reaction was carried out at a temperature of 150–160°C under a pressure of 0.7 to 0.8 MPa for 0.5 h. The yield of 2-vinylpyridine was 93% based on acrylonitrile.
Uses of 2-vinylpyridine
2-Vinylpyridine is mainly used to form a terpolymer butadiene–styrene–vinyl pyridine latex with butadiene and styrene. Due to the introduction of a highly polar pyridine group in the molecule, the latex has a strong adhesive ability. It is mainly used for impregnating rayon, nylon, polyester and other cords or cord fabrics. It is widely used in high-strength tires such as airplanes and automobiles, pressureresistant hoses, conveyor belts, hiking boots and other rubber products. Compared with natural latex or styrene–butadiene latex, butadiene–styrene–vinylpyridine latex can increase the adhesion strength of rayon cord to rubber by 17–67%, and improve the adhesion strength of nylon cord to rubber by 43–122%.
In the pharmaceutical industry, the use of a copolymer of 2-vinylpyridine and
styrene as a film-coating material for tablets has many advantages and is gradually
replacing the conventional sucrose coating material. The coating material can overcome the shortcomings of the sugar coating, such as easy moisture deterioration and
cracking, thereby ensuring the stability of the tablet for a long time. 2-Vinylpyridine
can also be used in the production of drugs such as polyvinylpyridine oxidum and
betahistine hydrochloride.
In the pesticide industry, 2-vinylpyridine is used for synthesis of the herbicide paraquat, and it can also be applied for synthesis of the insecticide imidacloprid with methanol. These pesticide products are the leading varieties of pesticides on the market at present.
You may like
Related articles And Qustion
See also
Lastest Price from 2-Vinylpyridine manufacturers

US $0.00-0.00/kg2024-11-26
- CAS:
- 100-69-6
- Min. Order:
- 1kg
- Purity:
- 98%
- Supply Ability:
- 1 ton

US $126.00/Kg/Bag2022-06-06
- CAS:
- 100-69-6
- Min. Order:
- 1KG
- Purity:
- 99%
- Supply Ability:
- 10TONS



