An improved process for the preparation of (S)-(+)-3-hydroxytetrahydrofuran
Introduction
In the present work, the process for the preparation of the optically pure form of 4-halo-3-hydroxybutyric ester (ECHB) 1 has been developed due to its increasing global demand. It is a key intermediate for the syntheses of many statin side chains such as atorvastatin, rosuvastatin, simvastatin, fluvastatin, lovastatin, pravastatin, pitavastatin, amino acids such as L-carnitine and its acetyl derivative. Also, chiral ECHB is used as a precursor for the preparation of optically pure (R) and (S)-(+)-3-hydroxytetrahydrofuran 2 (Figure 1), a key intermediate for the synthesis of afatinib (anticancer),[1] empagliflozin (type 2 diabetes),[2] fosamprenavir (antiviral),[3] amprenavir (antiviral)[4] and other chemotherapy agents such as bis(O,O-di(tetrahydrofuran-3-yl) hydrogen dithiophosphate) platinum, a cisplatin analogue.[5,6]

Synthetic method 1
The invention provides a synthetic method of (S)-(+)-3-hydroxytetrahydrofuran. The synthetic method comprises the following steps: (1) with L-malic acid as a raw material, carrying out esterification on two carboxyls of the L-malic acid to obtain a product with a formula shown in the specification; (2) reducing a product in the first step by virtue of sodium borohydride to obtain a product with a formula shown in the specification; and (3) carrying out cyclization on a product obtained in the second step to obtain the (S)-(+)-3-hydroxytetrahydrofuran.(Scheme 1) According to the synthetic method provided by the invention, the synthetic route is short in step, the used raw materials are cheap and easy to acquire, no racemization phenomenon occurs in the reaction process, a by-product in the third step is easy to remove, the total yield is high, and the (S)-(+)-3-hydroxytetrahydrofuran is suitable for industrial production.[7]

Synthetic method 2
In the present work, Chakraborty et al. have extended our scope to prepare optically pure 3-hydroxytetrahydrofuran starting from chiral 4-halo-3-hydroxybutyric ester (ECHB). The current industrial process for the preparation of chiral 3-hydroxytetrahydrofuran involves acid-catalyzed cyclodehydration of the corresponding 1,2,4-butanetriol 5 which is prepared from the reduction of readily available D or L-malic diester 3 or tartaric acid (Scheme 2; Reagents and conditions: (i) Isobutene, cat. P2O5/H3PO4/BF3OEt2, CH2Cl2, ambient temp., 82.8%, (ii) (A) NaBH4, EtOH, ambient temp., (B) HCl aq., 80.5%, (iii) cat. p-Tos-OH, 77 °C, 65.0%.) [8,9] However, this process is complicated and requires the protection of the hydroxyl group to facilitate isolation by extraction with organic solvents, which increases the number of steps and limits the commercial-scale application. [9] Few enzymatic approaches have been reported involving either selective reduction of dihydrofuran-3(2H)-one10 or resolution of rac-3-hydroxytetrahydrofuran and they are economically unfavourable due to the use of expensive co-factor dependent enzymes, less conversion and enantioselectivity.

An improved Synthetic method 3
From the literature reports, it is known that reduction of chiral 4-halo-3-hydroxybutyric ester in an organic solvent such as tetrahydrofuran, toluene, or ethyl acetate using sodium borohydride obtains chiral 4-halo-1,3-butanediol and cyclization of the resultant compound in an acidic solution obtains chiral 3-hydroxytetrahydrofuran. The cyclization reaction has also been performed under basic conditions in a neat solvent or in an organic solvent, by heating to 75 °C to 180 °C. However, in large-scale production, acidic conditions are difficult to maintain and extremely harmful. Other disadvantages are a longer reaction time (40 hours or more) and a complex extraction procedure (continuous extraction at 70 °C) for product purification. Due to these factors, this method has low productivity.[6]
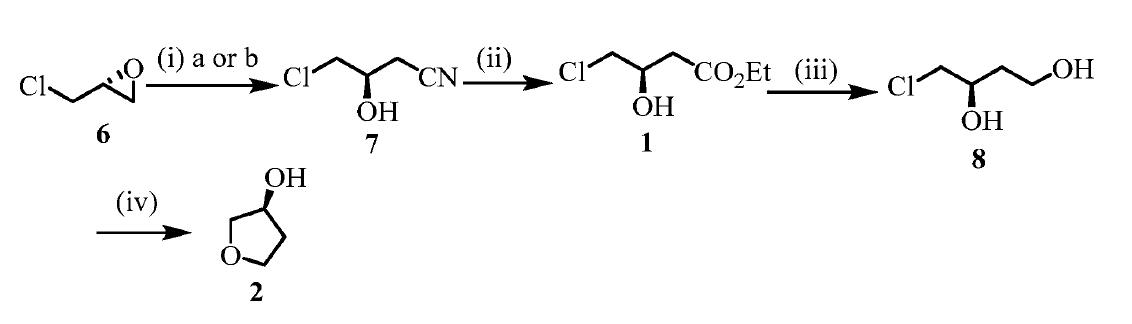
Herein, Chakraborty et al. have optimized the process for the preparation of the chiral precursor ECHB from chiral epichlorohydrin 6 and used it for the preparation of chiral 3-hydroxytetrahydrofuran (Scheme 3). The key steps involve the pH-controlled regioselective ring opening of epoxide 6 by the cyanide ion in the presence of a leaving group in aq. buffer as well as in organic solvents. It was observed that the pH of the medium played a major role in the regioselective ring-opening of epoxide. Next, the cyclization of 4-halo-1,3-butanediol 8 was achieved in water under reflux conditions by self-catalyzation of initially liberated HCl. The entire process was scaled up to 10 g without any racemization issues and column chromatography. In the present study, (R)-epichlorohydrin was used as a starting material to prepare (S)-(+)-3-hydroxytetrahydrofuran. Thus, the overall process for the preparation of (R) and (S)-(+)-3-hydroxytetrahydrofuran through chiral ECHB is depicted in Scheme 3.Reagents and conditions: (i) (a) Acetone cyanohydrin, buffer (pH 7.5–8.5), RT, 93%. (b) Acetone cyanohydrin, K2CO3 (0.1eq.), CH3CN, RT, 90%, (ii) EtOH, HCl, 60 ℃, 98%, (iii) NaBH4, i-PrOH,0℃–RT (iv) water, reflux, 88%.


Conclusion
In summary, a simple, safe and scalable process has been developed for the synthesis of optically pure (S)-(+)-3-hydroxytetrahydrofuran. The key step is the pH controlled nucleophilic ringopening of chiral epichlorohydrin by cyanohydrin without displacement of the chloro group. The route developed here has the potential to become a commercially viable process and may find industrial application.
References
[1] T. Kovacevic, M. Mesic, A. Avdagic and M. Zegarac, Tetrahedron Lett., 2018, 59, 4180–4182.
[2] X. J. Wang, L. Zhang, D. Byrne, L. Nummy, D. Weber, D. Krishnamurthy, N. Yee and C. H. Senanayake, Org. Lett., 2014, 16, 4090–4093;
[3] R. D. Tung, M. R. Hale,C. T. Baker, E. S. Furfine, I. Kaldor, W. W. Kazmierski and A. R. Spaltenstein, PCT Int. Appl, WO9933815, 1999;
[4] R. D. Tung, M. R. Hale, C. T. Baker, E. S. Furfine, I. Kaldor, W. W. Kazmierski and A. R. Spaltenstein, US Pat,6559137, 2003.
[5] S. M. Bhoge, P. Kshirsagar, S. R. Sagar and K. Singh, US Pat, 9085592B2, 2015.
[6] A. Chakraborty , A. Shiva Krishna , G. Sheelu ,S. Ghosh , T. Kumaraguru. Org Biomol Chem. 2022;20(34):6863-6868.
[7] Z. C. Li,S.Y. Li. Synthetic method of (S)-(+)-3-hydroxytetrahydrofuran [P].CN201410682644.3,2015-04-01.
[8] V. K. Tandon, A. M. Van Leusen and H. Wynberg, J. Org.Chem., 1983, 48, 2767–2769.
[9] Y. Honda, S. Katayama, M. Kojima, T. Suzuki, N. Kishibata and K. Izawa, Org. Biomol. Chem., 2004, 2, 2061–2070.
You may like
Related articles And Qustion
See also
Lastest Price from (S)-(+)-3-Hydroxytetrahydrofuran manufacturers

US $0.00-0.00/KG2026-03-31
- CAS:
- 86087-23-2
- Min. Order:
- 1KG
- Purity:
- 99.8%
- Supply Ability:
- 10T

US $5.00-0.50/KG2025-06-07
- CAS:
- 86087-23-2
- Min. Order:
- 0.10000000149011612KG
- Purity:
- 99% hplc
- Supply Ability:
- 5000kg



